Wikiquote edits (sr)

This is the bipartite edit network of the Serbian Wikiquote. It contains users and pages from the Serbian Wikiquote, connected by edit events. Each edge represents an edit. The dataset includes the timestamp of each edit.

Metadata

Codeqsr
Internal nameedit-srwikiquote
NameWikiquote edits (sr)
Data sourcehttp://dumps.wikimedia.org/
AvailabilityDataset is available for download
Consistency checkDataset passed all tests
Category
Authorship network
Dataset timestamp 2017-10-20
Node meaningUser, article
Edge meaningEdit
Network formatBipartite, undirected
Edge typeUnweighted, multiple edges
Temporal data Edges are annotated with timestamps

Statistics

Size n =2,277
Left size n1 =402
Right size n2 =1,875
Volume m =8,672
Unique edge count m̿ =4,784
Wedge count s =309,076
Claw count z =20,608,795
Cross count x =1,249,709,054
Square count q =155,239
4-Tour count T4 =2,492,596
Maximum degree dmax =712
Maximum left degree d1max =712
Maximum right degree d2max =317
Average degree d =7.617 04
Average left degree d1 =21.572 1
Average right degree d2 =4.625 07
Fill p =0.006 346 93
Average edge multiplicity m̃ =1.812 71
Size of LCC N =1,961
Diameter δ =11
50-Percentile effective diameter δ0.5 =3.505 00
90-Percentile effective diameter δ0.9 =5.126 72
Median distance δM =4
Mean distance δm =4.024 48
Gini coefficient G =0.762 413
Balanced inequality ratio P =0.193 842
Left balanced inequality ratio P1 =0.133 649
Right balanced inequality ratio P2 =0.250 577
Relative edge distribution entropy Her =0.829 711
Power law exponent γ =2.538 12
Tail power law exponent γt =1.921 00
Tail power law exponent with p γ3 =1.921 00
p-value p =0.000 00
Left tail power law exponent with p γ3,1 =1.711 00
Left p-value p1 =0.223 000
Right tail power law exponent with p γ3,2 =1.981 00
Right p-value p2 =0.000 00
Degree assortativity ρ =−0.102 200
Degree assortativity p-value pρ =1.385 27 × 10−12
Spectral norm α =304.185
Algebraic connectivity a =0.026 045 5
Spectral separation 1[A] / λ2[A]| =2.530 86
Controllability C =1,509
Relative controllability Cr =0.678 202

Plots

Fruchterman–Reingold graph drawing

Degree distribution

Cumulative degree distribution

Lorenz curve

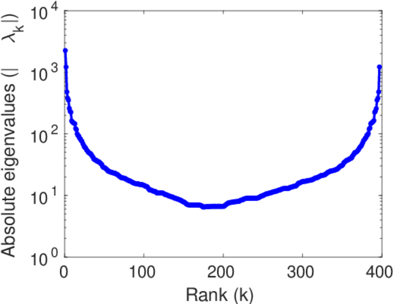
Spectral distribution of the adjacency matrix

Spectral distribution of the normalized adjacency matrix

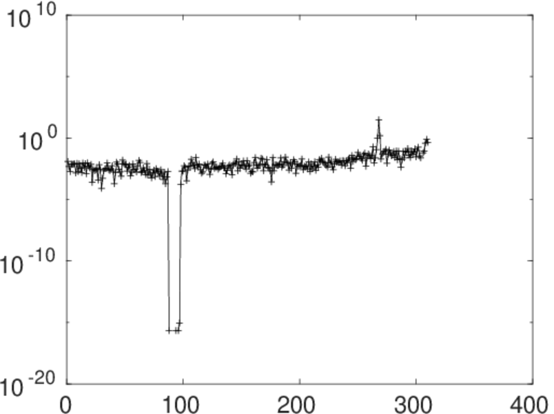
Spectral distribution of the Laplacian

Spectral graph drawing based on the adjacency matrix

Spectral graph drawing based on the Laplacian

Spectral graph drawing based on the normalized adjacency matrix

Degree assortativity

Zipf plot

Hop distribution

Double Laplacian graph drawing

Delaunay graph drawing

Edge weight/multiplicity distribution

Temporal distribution

Temporal hop distribution

Diameter/density evolution

Matrix decompositions plots

Downloads

References

[1] Jérôme Kunegis. KONECT – The Koblenz Network Collection. In Proc. Int. Conf. on World Wide Web Companion, pages 1343–1350, 2013. [ http ]
[2] Wikimedia Foundation. Wikimedia downloads. http://dumps.wikimedia.org/, January 2010.