Wikibooks edits (ta)

This is the bipartite edit network of the Tamil Wikibooks. It contains users and pages from the Tamil Wikibooks, connected by edit events. Each edge represents an edit. The dataset includes the timestamp of each edit.

Metadata

Codebta
Internal nameedit-tawikibooks
NameWikibooks edits (ta)
Data sourcehttp://dumps.wikimedia.org/
AvailabilityDataset is available for download
Consistency checkDataset passed all tests
Category
Authorship network
Dataset timestamp 2017-10-20
Node meaningUser, article
Edge meaningEdit
Network formatBipartite, undirected
Edge typeUnweighted, multiple edges
Temporal data Edges are annotated with timestamps

Statistics

Size n =3,873
Left size n1 =343
Right size n2 =3,530
Volume m =10,561
Unique edge count m̿ =4,953
Wedge count s =699,834
Claw count z =104,364,912
Cross count x =13,529,504,700
Square count q =44,953
4-Tour count T4 =3,169,878
Maximum degree dmax =1,726
Maximum left degree d1max =1,726
Maximum right degree d2max =181
Average degree d =5.453 65
Average left degree d1 =30.790 1
Average right degree d2 =2.991 78
Fill p =0.004 090 72
Average edge multiplicity m̃ =2.132 24
Size of LCC N =3,485
Diameter δ =14
50-Percentile effective diameter δ0.5 =3.637 01
90-Percentile effective diameter δ0.9 =5.785 41
Median distance δM =4
Mean distance δm =4.428 67
Gini coefficient G =0.749 863
Balanced inequality ratio P =0.202 774
Left balanced inequality ratio P1 =0.104 725
Right balanced inequality ratio P2 =0.280 939
Relative edge distribution entropy Her =0.789 996
Power law exponent γ =4.381 56
Tail power law exponent γt =2.481 00
Tail power law exponent with p γ3 =2.481 00
p-value p =0.000 00
Left tail power law exponent with p γ3,1 =1.751 00
Left p-value p1 =0.009 000 00
Right tail power law exponent with p γ3,2 =3.751 00
Right p-value p2 =0.470 000
Degree assortativity ρ =−0.124 453
Degree assortativity p-value pρ =1.486 13 × 10−18
Spectral norm α =168.576
Algebraic connectivity a =0.018 891 4
Spectral separation 1[A] / λ2[A]| =1.355 68
Controllability C =3,140
Relative controllability Cr =0.826 316

Plots

Fruchterman–Reingold graph drawing

Degree distribution

Cumulative degree distribution

Lorenz curve

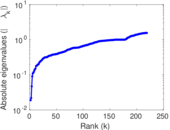
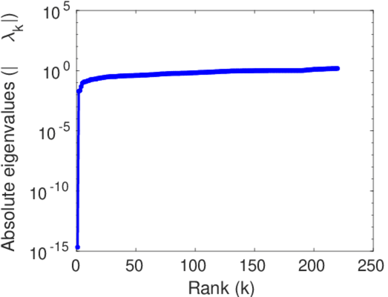
Spectral distribution of the adjacency matrix

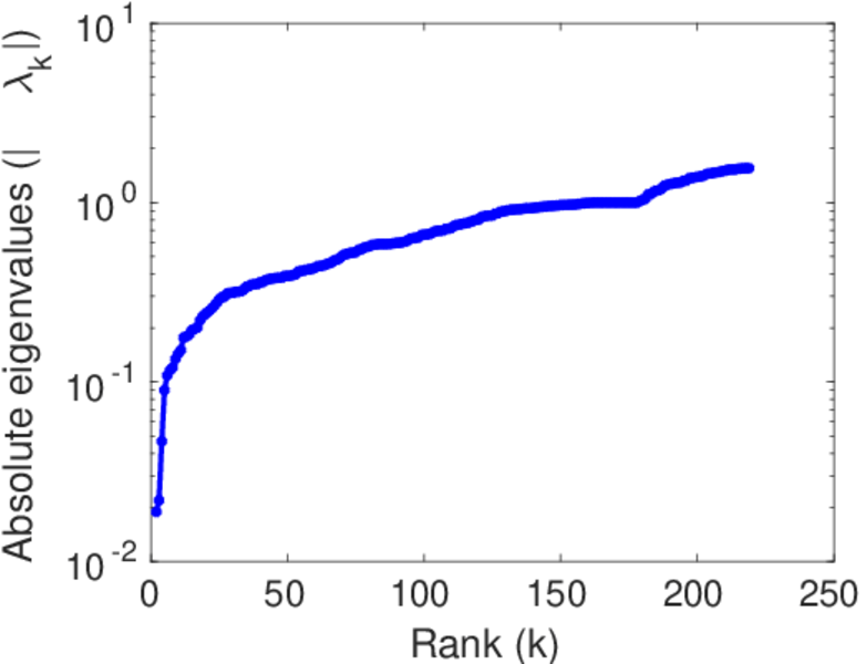
Spectral distribution of the normalized adjacency matrix

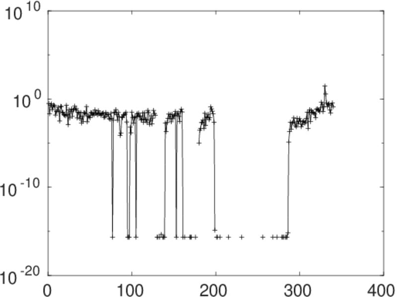
Spectral distribution of the Laplacian

Spectral graph drawing based on the adjacency matrix

Spectral graph drawing based on the Laplacian

Spectral graph drawing based on the normalized adjacency matrix

Degree assortativity

Zipf plot

Hop distribution

Double Laplacian graph drawing

Delaunay graph drawing

Edge weight/multiplicity distribution

Temporal distribution

Temporal hop distribution

Diameter/density evolution

Matrix decompositions plots

Downloads

References

[1] Jérôme Kunegis. KONECT – The Koblenz Network Collection. In Proc. Int. Conf. on World Wide Web Companion, pages 1343–1350, 2013. [ http ]
[2] Wikimedia Foundation. Wikimedia downloads. http://dumps.wikimedia.org/, January 2010.