Wikiquote edits (ug)

This is the bipartite edit network of the Uyghur Wikiquote. It contains users and pages from the Uyghur Wikiquote, connected by edit events. Each edge represents an edit. The dataset includes the timestamp of each edit.

Metadata

Codequg
Internal nameedit-ugwikiquote
NameWikiquote edits (ug)
Data sourcehttp://dumps.wikimedia.org/
AvailabilityDataset is available for download
Consistency checkDataset passed all tests
Category
Authorship network
Dataset timestamp 2017-10-20
Node meaningUser, article
Edge meaningEdit
Network formatBipartite, undirected
Edge typeUnweighted, multiple edges
Temporal data Edges are annotated with timestamps

Statistics

Size n =93
Left size n1 =28
Right size n2 =65
Volume m =100
Unique edge count m̿ =81
Wedge count s =152
Claw count z =209
Cross count x =199
Square count q =14
4-Tour count T4 =934
Maximum degree dmax =12
Maximum left degree d1max =12
Maximum right degree d2max =8
Average degree d =2.150 54
Average left degree d1 =3.571 43
Average right degree d2 =1.538 46
Fill p =0.044 505 5
Average edge multiplicity m̃ =1.234 57
Size of LCC N =12
Diameter δ =7
50-Percentile effective diameter δ0.5 =1.843 75
90-Percentile effective diameter δ0.9 =4.675 00
Median distance δM =2
Mean distance δm =2.641 51
Gini coefficient G =0.463 846
Balanced inequality ratio P =0.320 000
Left balanced inequality ratio P1 =0.300 000
Right balanced inequality ratio P2 =0.390 000
Relative edge distribution entropy Her =0.943 482
Power law exponent γ =3.885 46
Tail power law exponent γt =2.351 00
Tail power law exponent with p γ3 =2.351 00
p-value p =0.128 000
Left tail power law exponent with p γ3,1 =8.991 00
Left p-value p1 =0.479 000
Right tail power law exponent with p γ3,2 =7.181 00
Right p-value p2 =0.858 000
Degree assortativity ρ =+0.098 595 0
Degree assortativity p-value pρ =0.381 193
Spectral norm α =8.000 00
Algebraic connectivity a =0.122 267
Spectral separation 1[A] / λ2[A]| =1.537 08
Controllability C =37
Relative controllability Cr =0.397 849

Plots

Fruchterman–Reingold graph drawing

Degree distribution

Cumulative degree distribution

Lorenz curve

Spectral distribution of the adjacency matrix

Spectral distribution of the normalized adjacency matrix

Spectral distribution of the Laplacian

Spectral graph drawing based on the adjacency matrix

Spectral graph drawing based on the Laplacian

Spectral graph drawing based on the normalized adjacency matrix

Degree assortativity

Zipf plot

Hop distribution

Double Laplacian graph drawing

Delaunay graph drawing

Edge weight/multiplicity distribution

Temporal distribution

Temporal hop distribution

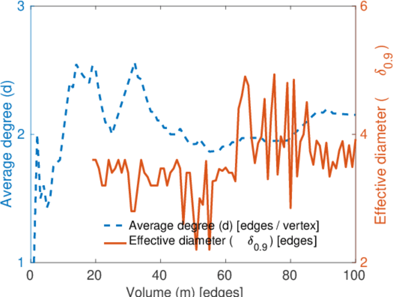
Diameter/density evolution

Node-level inter-event distribution

Matrix decompositions plots

Downloads

References

[1] Jérôme Kunegis. KONECT – The Koblenz Network Collection. In Proc. Int. Conf. on World Wide Web Companion, pages 1343–1350, 2013. [ http ]
[2] Wikimedia Foundation. Wikimedia downloads. http://dumps.wikimedia.org/, January 2010.