Wiktionary edits (vec)

This is the bipartite edit network of the Venetian Wiktionary. It contains users and pages from the Venetian Wiktionary, connected by edit events. Each edge represents an edit. The dataset includes the timestamp of each edit.

Metadata

Codemvec
Internal nameedit-vecwiktionary
NameWiktionary edits (vec)
Data sourcehttp://dumps.wikimedia.org/
AvailabilityDataset is available for download
Consistency checkDataset passed all tests
Category
Authorship network
Dataset timestamp 2017-10-20
Node meaningUser, article
Edge meaningEdit
Network formatBipartite, undirected
Edge typeUnweighted, multiple edges
Temporal data Edges are annotated with timestamps

Statistics

Size n =3,366
Left size n1 =208
Right size n2 =3,158
Volume m =20,858
Unique edge count m̿ =10,994
Wedge count s =6,427,418
Claw count z =3,594,663,253
Cross count x =1,712,126,731,071
Square count q =4,044,839
4-Tour count T4 =58,099,600
Maximum degree dmax =5,750
Maximum left degree d1max =5,750
Maximum right degree d2max =302
Average degree d =12.393 3
Average left degree d1 =100.279
Average right degree d2 =6.604 81
Fill p =0.016 737 1
Average edge multiplicity m̃ =1.897 22
Size of LCC N =3,239
Diameter δ =12
50-Percentile effective diameter δ0.5 =1.672 70
90-Percentile effective diameter δ0.9 =3.612 22
Median distance δM =2
Mean distance δm =2.524 92
Gini coefficient G =0.723 772
Balanced inequality ratio P =0.224 662
Left balanced inequality ratio P1 =0.063 956 3
Right balanced inequality ratio P2 =0.330 521
Relative edge distribution entropy Her =0.739 348
Power law exponent γ =1.958 87
Tail power law exponent γt =3.151 00
Tail power law exponent with p γ3 =3.151 00
p-value p =0.000 00
Left tail power law exponent with p γ3,1 =1.601 00
Left p-value p1 =0.351 000
Right tail power law exponent with p γ3,2 =3.581 00
Right p-value p2 =0.000 00
Degree assortativity ρ =−0.363 437
Degree assortativity p-value pρ =0.000 00
Spectral norm α =275.168
Algebraic connectivity a =0.050 304 0
Spectral separation 1[A] / λ2[A]| =1.773 69
Controllability C =3,019
Relative controllability Cr =0.896 910

Plots

Fruchterman–Reingold graph drawing

Degree distribution

Cumulative degree distribution

Lorenz curve

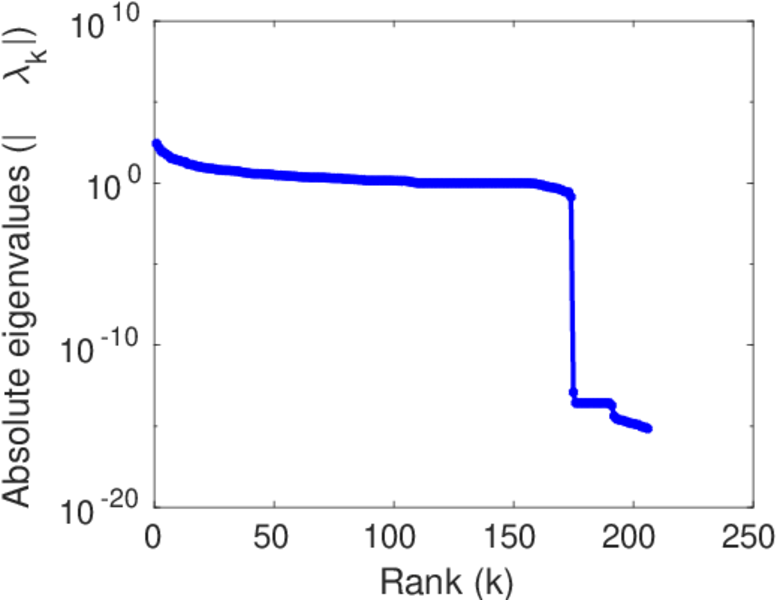
Spectral distribution of the adjacency matrix

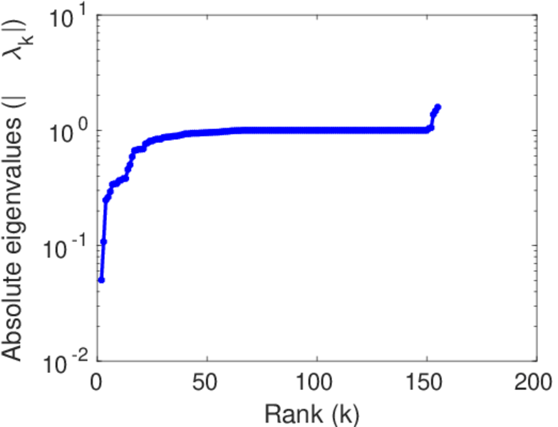
Spectral distribution of the normalized adjacency matrix

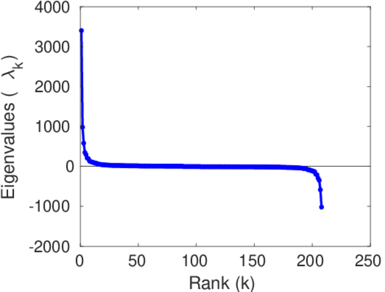
Spectral distribution of the Laplacian

Spectral graph drawing based on the adjacency matrix

Spectral graph drawing based on the Laplacian

Spectral graph drawing based on the normalized adjacency matrix

Degree assortativity

Zipf plot

Hop distribution

Double Laplacian graph drawing

Delaunay graph drawing

Edge weight/multiplicity distribution

Temporal distribution

Temporal hop distribution

Diameter/density evolution

Matrix decompositions plots

Downloads

References

[1] Jérôme Kunegis. KONECT – The Koblenz Network Collection. In Proc. Int. Conf. on World Wide Web Companion, pages 1343–1350, 2013. [ http ]
[2] Wikimedia Foundation. Wikimedia downloads. http://dumps.wikimedia.org/, January 2010.