Wikiquote edits (vi)

This is the bipartite edit network of the Vietnamese Wikiquote. It contains users and pages from the Vietnamese Wikiquote, connected by edit events. Each edge represents an edit. The dataset includes the timestamp of each edit.

Metadata

Codeqvi
Internal nameedit-viwikiquote
NameWikiquote edits (vi)
Data sourcehttp://dumps.wikimedia.org/
AvailabilityDataset is available for download
Consistency checkDataset passed all tests
Category
Authorship network
Dataset timestamp 2017-10-20
Node meaningUser, article
Edge meaningEdit
Network formatBipartite, undirected
Edge typeUnweighted, multiple edges
Temporal data Edges are annotated with timestamps

Statistics

Size n =3,929
Left size n1 =658
Right size n2 =3,271
Volume m =20,595
Unique edge count m̿ =5,896
Wedge count s =1,049,988
Claw count z =286,148,704
Cross count x =71,475,607,822
Square count q =70,579
4-Tour count T4 =4,777,428
Maximum degree dmax =4,626
Maximum left degree d1max =4,626
Maximum right degree d2max =2,860
Average degree d =10.483 6
Average left degree d1 =31.299 4
Average right degree d2 =6.296 24
Fill p =0.002 739 37
Average edge multiplicity m̃ =3.493 05
Size of LCC N =3,555
Diameter δ =11
50-Percentile effective diameter δ0.5 =3.433 37
90-Percentile effective diameter δ0.9 =4.833 87
Median distance δM =4
Mean distance δm =3.866 57
Gini coefficient G =0.860 403
Balanced inequality ratio P =0.136 417
Left balanced inequality ratio P1 =0.089 196 4
Right balanced inequality ratio P2 =0.188 395
Relative edge distribution entropy Her =0.797 846
Power law exponent γ =3.558 54
Tail power law exponent γt =2.261 00
Tail power law exponent with p γ3 =2.261 00
p-value p =0.000 00
Left tail power law exponent with p γ3,1 =1.911 00
Left p-value p1 =0.156 000
Right tail power law exponent with p γ3,2 =2.761 00
Right p-value p2 =0.051 000 0
Degree assortativity ρ =−0.243 671
Degree assortativity p-value pρ =1.933 13 × 10−80
Spectral norm α =2,988.97
Algebraic connectivity a =0.033 402 2
Spectral separation 1[A] / λ2[A]| =1.724 65
Controllability C =3,004
Relative controllability Cr =0.771 840

Plots

Fruchterman–Reingold graph drawing

Degree distribution

Cumulative degree distribution

Lorenz curve

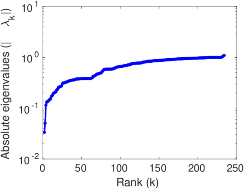
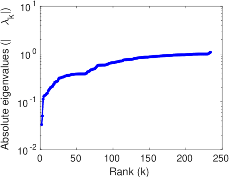
Spectral distribution of the adjacency matrix

Spectral distribution of the normalized adjacency matrix

Spectral distribution of the Laplacian

Spectral graph drawing based on the adjacency matrix

Spectral graph drawing based on the Laplacian

Spectral graph drawing based on the normalized adjacency matrix

Degree assortativity

Zipf plot

Hop distribution

Double Laplacian graph drawing

Delaunay graph drawing

Edge weight/multiplicity distribution

Temporal distribution

Temporal hop distribution

Diameter/density evolution

Matrix decompositions plots

Downloads

References

[1] Jérôme Kunegis. KONECT – The Koblenz Network Collection. In Proc. Int. Conf. on World Wide Web Companion, pages 1343–1350, 2013. [ http ]
[2] Wikimedia Foundation. Wikimedia downloads. http://dumps.wikimedia.org/, January 2010.