Wiktionary edits (yi)

This is the bipartite edit network of the Yiddish Wiktionary. It contains users and pages from the Yiddish Wiktionary, connected by edit events. Each edge represents an edit. The dataset includes the timestamp of each edit.

Metadata

Codemyi
Internal nameedit-yiwiktionary
NameWiktionary edits (yi)
Data sourcehttp://dumps.wikimedia.org/
AvailabilityDataset is available for download
Consistency checkDataset passed all tests
Category
Authorship network
Dataset timestamp 2017-10-20
Node meaningUser, article
Edge meaningEdit
Network formatBipartite, undirected
Edge typeUnweighted, multiple edges
Temporal data Edges are annotated with timestamps

Statistics

Size n =2,848
Left size n1 =310
Right size n2 =2,538
Volume m =9,841
Unique edge count m̿ =4,220
Wedge count s =1,315,781
Claw count z =608,704,222
Cross count x =230,267,698,556
Square count q =111,478
4-Tour count T4 =6,169,884
Maximum degree dmax =4,742
Maximum left degree d1max =4,742
Maximum right degree d2max =274
Average degree d =6.910 81
Average left degree d1 =31.745 2
Average right degree d2 =3.877 46
Fill p =0.005 363 63
Average edge multiplicity m̃ =2.331 99
Size of LCC N =2,515
Diameter δ =13
50-Percentile effective diameter δ0.5 =3.059 43
90-Percentile effective diameter δ0.9 =5.078 67
Median distance δM =4
Mean distance δm =3.425 86
Gini coefficient G =0.772 189
Balanced inequality ratio P =0.188 091
Left balanced inequality ratio P1 =0.090 336 3
Right balanced inequality ratio P2 =0.267 554
Relative edge distribution entropy Her =0.767 724
Power law exponent γ =3.701 74
Tail power law exponent γt =2.301 00
Tail power law exponent with p γ3 =2.301 00
p-value p =0.000 00
Left tail power law exponent with p γ3,1 =1.771 00
Left p-value p1 =0.250 000
Right tail power law exponent with p γ3,2 =2.801 00
Right p-value p2 =0.003 000 00
Degree assortativity ρ =−0.294 594
Degree assortativity p-value pρ =2.930 18 × 10−85
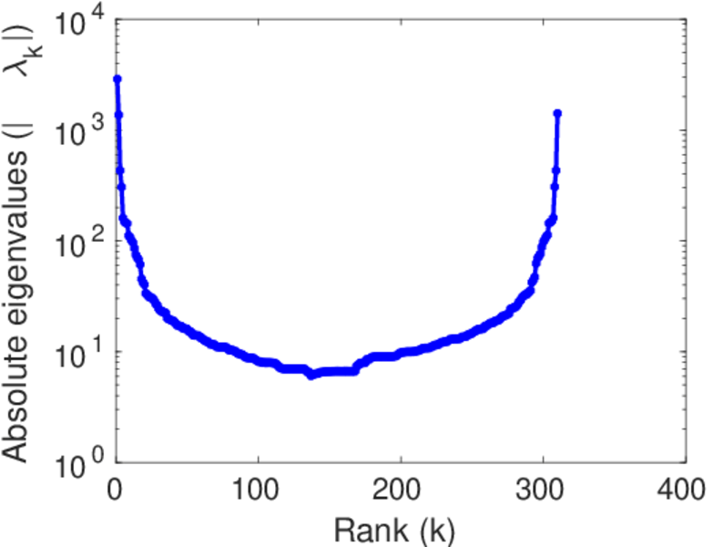
Spectral norm α =360.437
Algebraic connectivity a =0.016 250 2
Spectral separation 1[A] / λ2[A]| =3.282 15
Controllability C =2,240
Relative controllability Cr =0.788 732

Plots

Fruchterman–Reingold graph drawing

Degree distribution

Cumulative degree distribution

Lorenz curve

Spectral distribution of the adjacency matrix

Spectral distribution of the normalized adjacency matrix

Spectral distribution of the Laplacian

Spectral graph drawing based on the adjacency matrix

Spectral graph drawing based on the Laplacian

Spectral graph drawing based on the normalized adjacency matrix

Degree assortativity

Zipf plot

Hop distribution

Double Laplacian graph drawing

Delaunay graph drawing

Edge weight/multiplicity distribution

Temporal distribution

Temporal hop distribution

Diameter/density evolution

Matrix decompositions plots

Downloads

References

[1] Jérôme Kunegis. KONECT – The Koblenz Network Collection. In Proc. Int. Conf. on World Wide Web Companion, pages 1343–1350, 2013. [ http ]
[2] Wikimedia Foundation. Wikimedia downloads. http://dumps.wikimedia.org/, January 2010.