Wikibooks edits (yo)

This is the bipartite edit network of the Yoruba Wikibooks. It contains users and pages from the Yoruba Wikibooks, connected by edit events. Each edge represents an edit. The dataset includes the timestamp of each edit.

Metadata

Codebyo
Internal nameedit-yowikibooks
NameWikibooks edits (yo)
Data sourcehttp://dumps.wikimedia.org/
AvailabilityDataset is available for download
Consistency checkDataset passed all tests
Category
Authorship network
Dataset timestamp 2017-10-20
Node meaningUser, article
Edge meaningEdit
Network formatBipartite, undirected
Edge typeUnweighted, multiple edges
Temporal data Edges are annotated with timestamps

Statistics

Size n =147
Left size n1 =36
Right size n2 =111
Volume m =193
Unique edge count m̿ =139
Wedge count s =743
Claw count z =3,974
Cross count x =18,823
Square count q =94
4-Tour count T4 =4,026
Maximum degree dmax =40
Maximum left degree d1max =40
Maximum right degree d2max =30
Average degree d =2.625 85
Average left degree d1 =5.361 11
Average right degree d2 =1.738 74
Fill p =0.034 784 8
Average edge multiplicity m̃ =1.388 49
Size of LCC N =53
Diameter δ =8
50-Percentile effective diameter δ0.5 =3.073 38
90-Percentile effective diameter δ0.9 =5.023 53
Median distance δM =4
Mean distance δm =3.451 38
Gini coefficient G =0.568 959
Balanced inequality ratio P =0.287 565
Left balanced inequality ratio P1 =0.243 523
Right balanced inequality ratio P2 =0.362 694
Relative edge distribution entropy Her =0.899 970
Power law exponent γ =4.136 24
Tail power law exponent γt =2.421 00
Tail power law exponent with p γ3 =2.421 00
p-value p =0.007 000 00
Left tail power law exponent with p γ3,1 =2.021 00
Left p-value p1 =0.489 000
Right tail power law exponent with p γ3,2 =3.011 00
Right p-value p2 =0.000 00
Degree assortativity ρ =−0.110 129
Degree assortativity p-value pρ =0.196 838
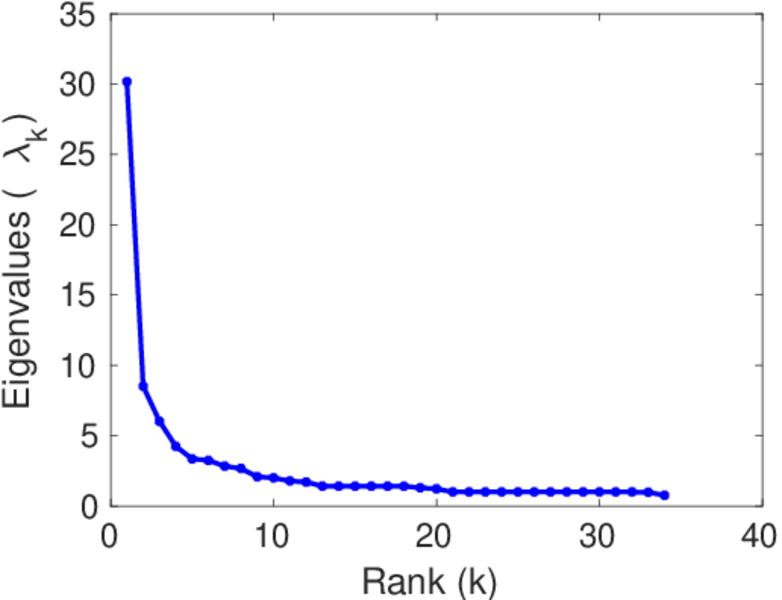
Spectral norm α =30.166 2
Algebraic connectivity a =0.081 129 7
Spectral separation 1[A] / λ2[A]| =3.544 80
Controllability C =76
Relative controllability Cr =0.520 548

Plots

Fruchterman–Reingold graph drawing

Degree distribution

Cumulative degree distribution

Lorenz curve

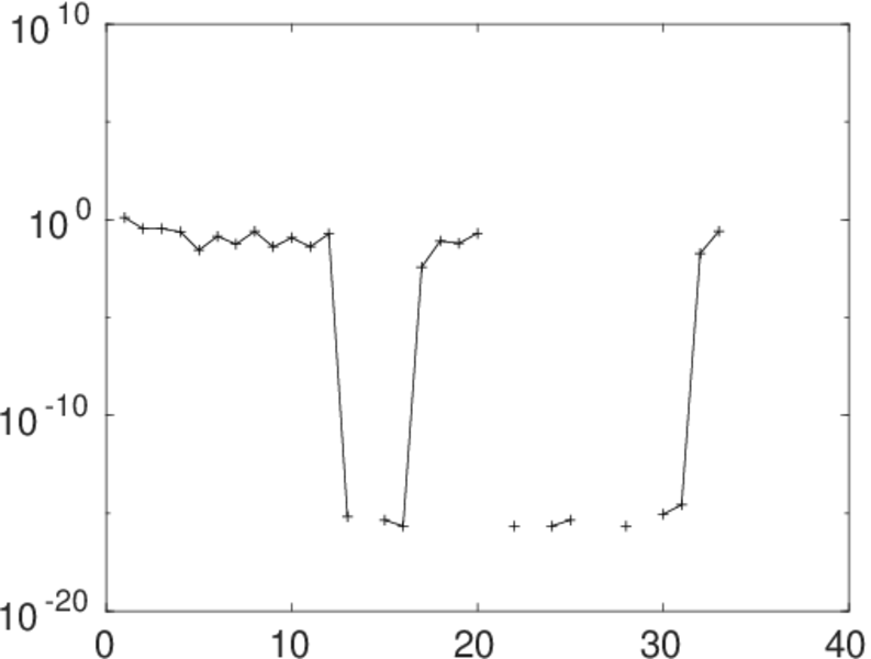
Spectral distribution of the adjacency matrix

Spectral distribution of the normalized adjacency matrix

Spectral distribution of the Laplacian

Spectral graph drawing based on the adjacency matrix

Spectral graph drawing based on the Laplacian

Spectral graph drawing based on the normalized adjacency matrix

Degree assortativity

Zipf plot

Hop distribution

Double Laplacian graph drawing

Delaunay graph drawing

Edge weight/multiplicity distribution

Temporal distribution

Temporal hop distribution

Diameter/density evolution

Matrix decompositions plots

Downloads

References

[1] Jérôme Kunegis. KONECT – The Koblenz Network Collection. In Proc. Int. Conf. on World Wide Web Companion, pages 1343–1350, 2013. [ http ]
[2] Wikimedia Foundation. Wikimedia downloads. http://dumps.wikimedia.org/, January 2010.