Wikiquote edits (zh-min-nan)

This is the bipartite edit network of the Chinese (Min Nan) Wikisource. It contains users and pages from the Chinese (Min Nan) Wikisource, connected by edit events. Each edge represents an edit. The dataset includes the timestamp of each edit.

Metadata

Codeqzh-min-nan
Internal nameedit-zh_min_nanwikisource
NameWikiquote edits (zh-min-nan)
Data sourcehttp://dumps.wikimedia.org/
AvailabilityDataset is available for download
Consistency checkDataset passed all tests
Category
Authorship network
Dataset timestamp 2017-10-20
Node meaningUser, article
Edge meaningEdit
Network formatBipartite, undirected
Edge typeUnweighted, multiple edges
Temporal data Edges are annotated with timestamps

Statistics

Size n =3,172
Left size n1 =193
Right size n2 =2,979
Volume m =5,221
Unique edge count m̿ =3,187
Wedge count s =2,586,414
Claw count z =1,927,787,300
Cross count x =1,087,999,953,400
Square count q =1,185
4-Tour count T4 =10,361,594
Maximum degree dmax =3,715
Maximum left degree d1max =3,715
Maximum right degree d2max =135
Average degree d =3.291 93
Average left degree d1 =27.051 8
Average right degree d2 =1.752 60
Fill p =0.005 543 12
Average edge multiplicity m̃ =1.638 22
Size of LCC N =2,854
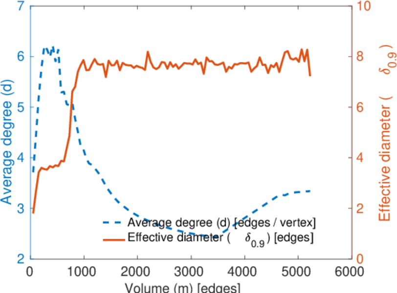
Diameter δ =12
50-Percentile effective diameter δ0.5 =1.797 07
90-Percentile effective diameter δ0.9 =5.537 78
Median distance δM =2
Mean distance δm =3.155 37
Gini coefficient G =0.639 389
Balanced inequality ratio P =0.271 212
Left balanced inequality ratio P1 =0.083 125 8
Right balanced inequality ratio P2 =0.389 964
Relative edge distribution entropy Her =0.685 256
Power law exponent γ =12.759 8
Tail power law exponent γt =3.681 00
Tail power law exponent with p γ3 =3.681 00
p-value p =0.000 00
Left tail power law exponent with p γ3,1 =1.901 00
Left p-value p1 =0.918 000
Right tail power law exponent with p γ3,2 =4.351 00
Right p-value p2 =0.000 00
Degree assortativity ρ =−0.303 767
Degree assortativity p-value pρ =5.119 64 × 10−69
Spectral norm α =95.368 3
Algebraic connectivity a =0.008 621 45
Spectral separation 1[A] / λ2[A]| =1.177 34
Controllability C =2,760
Relative controllability Cr =0.883 483

Plots

Fruchterman–Reingold graph drawing

Degree distribution

Cumulative degree distribution

Lorenz curve

Spectral distribution of the adjacency matrix

Spectral distribution of the normalized adjacency matrix

Spectral distribution of the Laplacian

Spectral graph drawing based on the adjacency matrix

Spectral graph drawing based on the Laplacian

Spectral graph drawing based on the normalized adjacency matrix

Degree assortativity

Zipf plot

Hop distribution

Double Laplacian graph drawing

Delaunay graph drawing

Edge weight/multiplicity distribution

Temporal distribution

Temporal hop distribution

Diameter/density evolution

Matrix decompositions plots

Downloads

References

[1] Jérôme Kunegis. KONECT – The Koblenz Network Collection. In Proc. Int. Conf. on World Wide Web Companion, pages 1343–1350, 2013. [ http ]
[2] Wikimedia Foundation. Wikimedia downloads. http://dumps.wikimedia.org/, January 2010.