Wikivoyage edits (zh)

This is the bipartite edit network of the Chinese Wikivoyage. It contains users and pages from the Chinese Wikivoyage, connected by edit events. Each edge represents an edit. The dataset includes the timestamp of each edit.

Metadata

Codevzh
Internal nameedit-zhwikivoyage
NameWikivoyage edits (zh)
Data sourcehttp://dumps.wikimedia.org/
AvailabilityDataset is available for download
Consistency checkDataset passed all tests
Category
Authorship network
Dataset timestamp 2017-10-20
Node meaningUser, article
Edge meaningEdit
Network formatBipartite, undirected
Edge typeUnweighted, multiple edges
Temporal data Edges are annotated with timestamps

Statistics

Size n =11,867
Left size n1 =1,326
Right size n2 =10,541
Volume m =74,980
Unique edge count m̿ =24,752
Wedge count s =15,193,103
Claw count z =10,123,649,265
Cross count x =5,742,741,719,241
Square count q =4,535,512
4-Tour count T4 =97,116,444
Maximum degree dmax =19,279
Maximum left degree d1max =19,279
Maximum right degree d2max =2,911
Average degree d =12.636 7
Average left degree d1 =56.546 0
Average right degree d2 =7.113 18
Fill p =0.001 770 86
Average edge multiplicity m̃ =3.029 25
Size of LCC N =11,704
Diameter δ =10
50-Percentile effective diameter δ0.5 =3.382 84
90-Percentile effective diameter δ0.9 =4.205 74
Median distance δM =4
Mean distance δm =3.721 08
Gini coefficient G =0.858 058
Balanced inequality ratio P =0.141 664
Left balanced inequality ratio P1 =0.082 048 5
Right balanced inequality ratio P2 =0.191 985
Relative edge distribution entropy Her =0.757 286
Power law exponent γ =2.915 42
Tail power law exponent γt =2.061 00
Tail power law exponent with p γ3 =2.061 00
p-value p =0.000 00
Left tail power law exponent with p γ3,1 =1.761 00
Left p-value p1 =0.644 000
Right tail power law exponent with p γ3,2 =3.261 00
Right p-value p2 =0.250 000
Degree assortativity ρ =−0.250 710
Degree assortativity p-value pρ =0.000 00
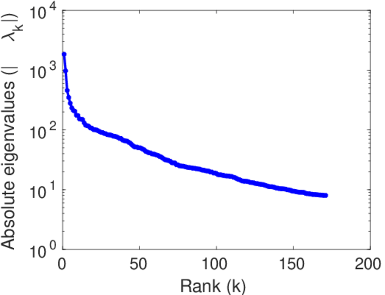
Spectral norm α =1,838.46
Algebraic connectivity a =0.139 012
Spectral separation 1[A] / λ2[A]| =1.894 07
Controllability C =10,223
Relative controllability Cr =0.864 451

Plots

Fruchterman–Reingold graph drawing

Degree distribution

Cumulative degree distribution

Lorenz curve

Spectral distribution of the adjacency matrix

Spectral distribution of the normalized adjacency matrix

Spectral distribution of the Laplacian

Spectral graph drawing based on the adjacency matrix

Spectral graph drawing based on the Laplacian

Spectral graph drawing based on the normalized adjacency matrix

Degree assortativity

Zipf plot

Hop distribution

Double Laplacian graph drawing

Delaunay graph drawing

Edge weight/multiplicity distribution

Temporal distribution

Temporal hop distribution

Diameter/density evolution

Matrix decompositions plots

Downloads

References

[1] Jérôme Kunegis. KONECT – The Koblenz Network Collection. In Proc. Int. Conf. on World Wide Web Companion, pages 1343–1350, 2013. [ http ]
[2] Wikimedia Foundation. Wikimedia downloads. http://dumps.wikimedia.org/, January 2010.