MovieLens user–item

This bipartite network consists of 72,000 users who applied tags to 10,000 movies from http://movielens.umn.edu/. Left nodes represent users and right nodes represent movies. An edge connects a user with a movie he has assigned a tag to.

Metadata

CodeMui
Internal namemovielens-10m_ui
NameMovieLens user–item
Data sourcehttp://www.grouplens.org/node/73
AvailabilityDataset is available for download
Consistency checkDataset passed all tests
Category
Interaction network
Node meaningUser, movie
Edge meaningTag assignment
Network formatBipartite, undirected
Edge typeUnweighted, multiple edges
Temporal data Edges are annotated with timestamps

Statistics

Size n =11,610
Left size n1 =4,009
Right size n2 =7,601
Volume m =95,580
Unique edge count m̿ =55,484
Wedge count s =10,527,036
Claw count z =3,111,884,288
Cross count x =940,679,536,237
Square count q =7,490,391
4-Tour count T4 =102,152,360
Maximum degree dmax =6,012
Maximum left degree d1max =6,012
Maximum right degree d2max =308
Average degree d =16.465 1
Average left degree d1 =23.841 4
Average right degree d2 =12.574 7
Fill p =0.001 820 79
Average edge multiplicity m̃ =1.722 66
Size of LCC N =11,557
Diameter δ =9
50-Percentile effective diameter δ0.5 =3.304 04
90-Percentile effective diameter δ0.9 =4.618 16
Median distance δM =4
Mean distance δm =3.768 25
Gini coefficient G =0.746 738
Balanced inequality ratio P =0.209 128
Left balanced inequality ratio P1 =0.125 811
Right balanced inequality ratio P2 =0.250 983
Relative edge distribution entropy Her =0.849 226
Power law exponent γ =1.817 63
Tail power law exponent γt =2.401 00
Tail power law exponent with p γ3 =2.401 00
p-value p =0.929 000
Left tail power law exponent with p γ3,1 =1.651 00
Left p-value p1 =0.000 00
Right tail power law exponent with p γ3,2 =3.321 00
Right p-value p2 =0.002 000 00
Degree assortativity ρ =−0.221 845
Degree assortativity p-value pρ =0.000 00
Spectral norm α =307.003
Algebraic connectivity a =0.176 189
Spectral separation 1[A] / λ2[A]| =1.279 70
Controllability C =5,981
Relative controllability Cr =0.515 159

Plots

Fruchterman–Reingold graph drawing

Degree distribution

Cumulative degree distribution

Lorenz curve

Spectral distribution of the adjacency matrix

Spectral distribution of the normalized adjacency matrix

Spectral distribution of the Laplacian

Spectral graph drawing based on the adjacency matrix

Spectral graph drawing based on the Laplacian

Spectral graph drawing based on the normalized adjacency matrix

Degree assortativity

Zipf plot

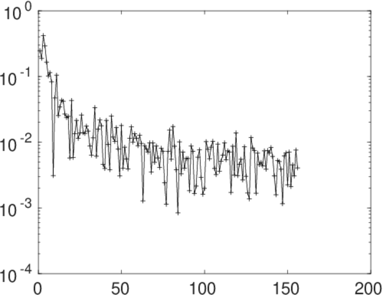
Hop distribution

Double Laplacian graph drawing

Delaunay graph drawing

Edge weight/multiplicity distribution

Temporal distribution

Temporal hop distribution

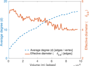
Diameter/density evolution

Inter-event distribution

Node-level inter-event distribution

Matrix decompositions plots

Downloads

References

[1] Jérôme Kunegis. KONECT – The Koblenz Network Collection. In Proc. Int. Conf. on World Wide Web Companion, pages 1343–1350, 2013. [ http ]
[2] GroupLens Research. MovieLens data sets. http://www.grouplens.org/node/73, October 2006.