MovieLens 1M

This bipartite network contains one million movie ratings from http://movielens.umn.edu/. Left nodes are users and right nodes are movies. An edge between a user and a movie shows that the user has rated the movie.

Metadata

CodeM2
Internal namemovielens-1m
NameMovieLens 1M
Data sourcehttp://www.grouplens.org/node/73
AvailabilityDataset is available for download
Consistency checkDataset passed all tests
Category
Rating network
Node meaningUser, movie
Edge meaningRating
Network formatBipartite, undirected
Edge typeRatings, no multiple edges
Temporal data Edges are annotated with timestamps

Statistics

Size n =9,746
Left size n1 =6,040
Right size n2 =3,706
Volume m =1,000,209
Wedge count s =602,009,923
Cross count x =92,787,513,219,316
Square count q =16,671,201,295
4-Tour count T4 =135,780,401,238
Maximum degree dmax =3,428
Maximum left degree d1max =2,314
Maximum right degree d2max =3,428
Average degree d =205.255
Average left degree d1 =165.598
Average right degree d2 =269.889
Fill p =0.044 683 6
Size of LCC N =9,746
Diameter δ =6
50-Percentile effective diameter δ0.5 =2.005 85
90-Percentile effective diameter δ0.9 =2.859 70
Median distance δM =3
Mean distance δm =2.518 18
Gini coefficient G =0.533 280
Balanced inequality ratio P =0.297 482
Left balanced inequality ratio P1 =0.296 410
Right balanced inequality ratio P2 =0.257 754
Relative edge distribution entropy Her =0.931 081
Power law exponent γ =1.218 68
Tail power law exponent γt =1.791 00
Tail power law exponent with p γ3 =1.791 00
p-value p =0.000 00
Left tail power law exponent with p γ3,1 =1.911 00
Left p-value p1 =0.000 00
Right tail power law exponent with p γ3,2 =1.651 00
Right p-value p2 =0.000 00
Degree assortativity ρ =−0.205 437
Degree assortativity p-value pρ =0.000 00
Spectral norm α =177.579
Algebraic connectivity a =0.005 940 63
Spectral separation 1[A] / λ2[A]| =1.362 99
Negativity ζ =0.434 627
Controllability C =2,428
Relative controllability Cr =0.249 128

Plots

Fruchterman–Reingold graph drawing

Degree distribution

Cumulative degree distribution

Lorenz curve

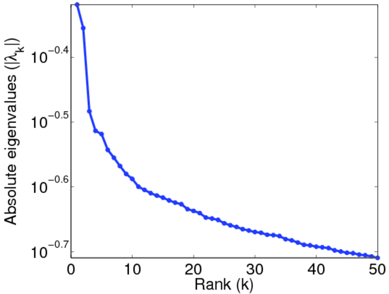
Spectral distribution of the adjacency matrix

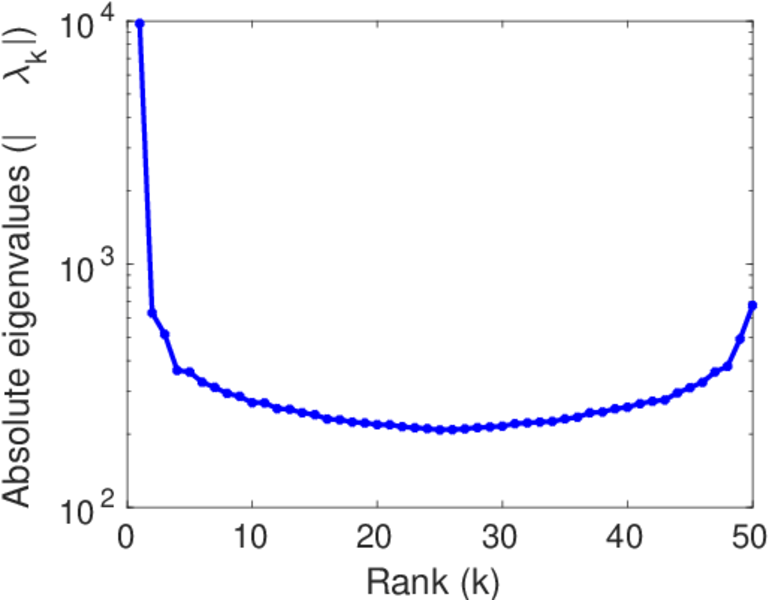
Spectral distribution of the normalized adjacency matrix

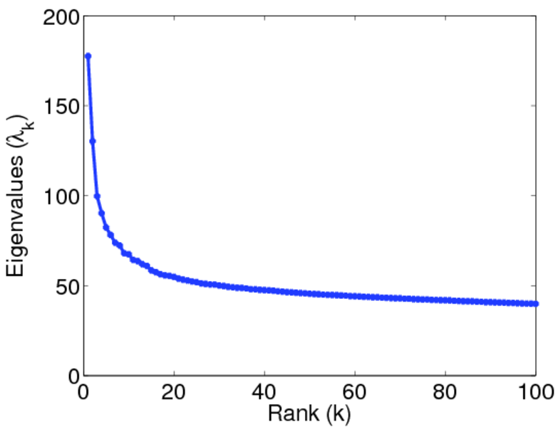
Spectral distribution of the Laplacian

Spectral graph drawing based on the adjacency matrix

Spectral graph drawing based on the Laplacian

Spectral graph drawing based on the normalized adjacency matrix

Degree assortativity

Zipf plot

Hop distribution

Double Laplacian graph drawing

Delaunay graph drawing

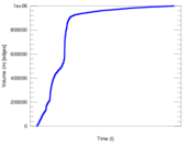
Item rating evolution

Edge weight/multiplicity distribution

Temporal distribution

Temporal hop distribution

Diameter/density evolution

Signed temporal distribution

Rating class evolution

Inter-event distribution

Node-level inter-event distribution

Matrix decompositions plots

Downloads

References

[1] Jérôme Kunegis. KONECT – The Koblenz Network Collection. In Proc. Int. Conf. on World Wide Web Companion, pages 1343–1350, 2013. [ http ]
[2] GroupLens Research. MovieLens data sets. http://www.grouplens.org/node/73, October 2006.