Amazon (Wang)

This is the rating network from Amazon, where users rate individual items.

Metadata

CodeAM
Internal namewang-amazon
NameAmazon (Wang)
Data sourcehttp://times.cs.uiuc.edu/~wang296/Data/
AvailabilityDataset is available for download
Consistency checkDataset passed all tests
Category
Rating network
Dataset timestamp 1999-06-13 ⋯ 2008-02-26
Node meaningUser, item
Edge meaningRating
Network formatBipartite, undirected
Edge typeRatings, multiple edges
Temporal data Edges are annotated with timestamps
Snapshot Is a snapshot and likely to not contain all data

Statistics

Size n =26,911
Left size n1 =26,112
Right size n2 =799
Volume m =29,062
Unique edge count m̿ =28,901
Wedge count s =3,466,223
Claw count z =506,135,573
Cross count x =69,876,374,335
Square count q =3,575
4-Tour count T4 =13,952,650
Maximum degree dmax =812
Maximum left degree d1max =44
Maximum right degree d2max =812
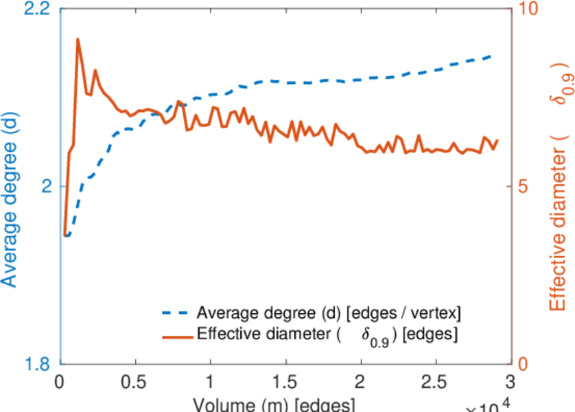
Average degree d =2.159 86
Average left degree d1 =1.112 97
Average right degree d2 =36.373 0
Fill p =0.001 385 24
Average edge multiplicity m̃ =1.005 57
Size of LCC N =25,865
Diameter δ =18
50-Percentile effective diameter δ0.5 =5.321 60
90-Percentile effective diameter δ0.9 =7.354 18
Median distance δM =6
Mean distance δm =5.679 07
Gini coefficient G =0.540 336
Balanced inequality ratio P =0.309 436
Left balanced inequality ratio P1 =0.474 309
Right balanced inequality ratio P2 =0.187 156
Relative edge distribution entropy Her =0.828 447
Power law exponent γ =9.291 60
Tail power law exponent γt =3.311 00
Tail power law exponent with p γ3 =3.311 00
p-value p =0.000 00
Left tail power law exponent with p γ3,1 =4.081 00
Left p-value p1 =0.000 00
Right tail power law exponent with p γ3,2 =1.811 00
Right p-value p2 =0.000 00
Degree assortativity ρ =−0.039 696 6
Degree assortativity p-value pρ =1.469 29 × 10−11
Spectral norm α =38.540 8
Algebraic connectivity a =0.000 958 870
Spectral separation 1[A] / λ2[A]| =1.346 72
Negativity ζ =0.368 257
Algebraic conflict ξ =0.012 657 3
Spectral signed frustration φ =0.001 456 17
Controllability C =25,349
Relative controllability Cr =0.941 957

Plots

Fruchterman–Reingold graph drawing

Degree distribution

Cumulative degree distribution

Lorenz curve

Spectral distribution of the adjacency matrix

Spectral distribution of the normalized adjacency matrix

Spectral distribution of the Laplacian

Spectral graph drawing based on the adjacency matrix

Spectral graph drawing based on the Laplacian

Spectral graph drawing based on the normalized adjacency matrix

Degree assortativity

Zipf plot

Hop distribution

Double Laplacian graph drawing

Delaunay graph drawing

Item rating evolution

Edge weight/multiplicity distribution

Temporal distribution

Temporal hop distribution

Diameter/density evolution

Signed temporal distribution

Rating class evolution

Matrix decompositions plots

Downloads

References

[1] Jérôme Kunegis. KONECT – The Koblenz Network Collection. In Proc. Int. Conf. on World Wide Web Companion, pages 1343–1350, 2013. [ http ]
[2] Hongning Wang, Yue Lu, and Chengxiang Zhai. Latent aspect rating analysis on review text data: A rating regression approach. In Proc. Int. Conf. on Knowl. Discov. and Data Min., pages 783–792, 2010.
[3] Hongning Wang, Yue Lu, and ChengXiang Zhai. Latent aspect rating analysis without aspect keyword supervision. In Proc. Int. Conf. on Knowl. Discov. and Data Min., pages 618–626, 2011.