Jazz musicians

This is the collaboration network between Jazz musicians. Each node is a Jazz musician and an edge denotes that two musicians have played together in a band. The data was collected in 2003.

Metadata

CodeJZ
Internal namearenas-jazz
NameJazz musicians
Data sourcehttp://deim.urv.cat/~alexandre.arenas/data/welcome.htm
AvailabilityDataset is available for download
Consistency checkDataset passed all tests
Category
Human social network
Dataset timestamp 2003
Node meaningMusician
Edge meaningCollaboration
Network formatUnipartite, undirected
Edge typeUnweighted, no multiple edges
LoopsDoes not contain loops
Snapshot Is a snapshot and likely to not contain all data
Join Is the join of an underlying network

Statistics

Size n =198
Volume m =2,742
Loop count l =0
Wedge count s =103,212
Claw count z =1,583,352
Cross count x =21,666,963
Triangle count t =17,899
Square count q =406,441
4-Tour count T4 =3,669,860
Maximum degree dmax =100
Average degree d =27.697 0
Fill p =0.140 594
Size of LCC N =198
Diameter δ =6
50-Percentile effective diameter δ0.5 =1.647 00
90-Percentile effective diameter δ0.9 =2.793 55
Median distance δM =2
Mean distance δm =2.206 04
Gini coefficient G =0.345 989
Balanced inequality ratio P =0.373 450
Relative edge distribution entropy Her =0.961 549
Power law exponent γ =1.329 28
Tail power law exponent γt =5.271 00
Tail power law exponent with p γ3 =5.271 00
p-value p =0.623 000
Degree assortativity ρ =+0.020 237 4
Degree assortativity p-value pρ =0.134 010
Clustering coefficient c =0.520 259
Spectral norm α =40.027 4
Algebraic connectivity a =0.571 994
Spectral separation 1[A] / λ2[A]| =1.461 22
Non-bipartivity bA =0.782 583
Normalized non-bipartivity bN =0.460 437
Algebraic non-bipartivity χ =0.692 773
Spectral bipartite frustration bK =0.006 253 14
Controllability C =1
Relative controllability Cr =0.005 050 51

Plots

Fruchterman–Reingold graph drawing

Degree distribution

Cumulative degree distribution

Lorenz curve

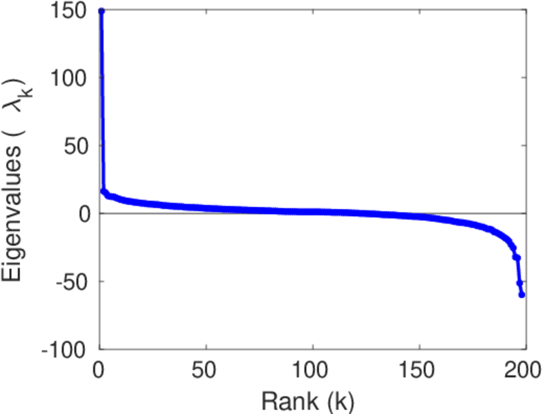
Spectral distribution of the adjacency matrix

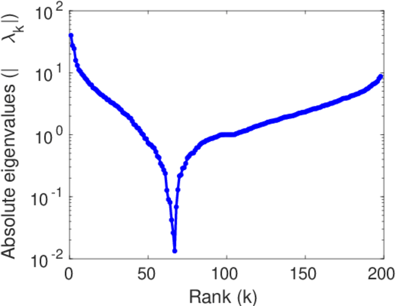
Spectral distribution of the normalized adjacency matrix

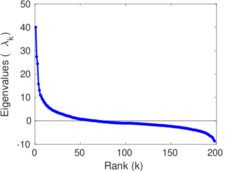
Spectral distribution of the Laplacian

Spectral graph drawing based on the adjacency matrix

Spectral graph drawing based on the Laplacian

Spectral graph drawing based on the normalized adjacency matrix

Degree assortativity

Zipf plot

Hop distribution

Double Laplacian graph drawing

Delaunay graph drawing

Clustering coefficient distribution

Average neighbor degree distribution

SynGraphy

Matrix decompositions plots

Downloads

References

[1] Jérôme Kunegis. KONECT – The Koblenz Network Collection. In Proc. Int. Conf. on World Wide Web Companion, pages 1343–1350, 2013. [ http ]
[2] Pablo M. Gleiser and Leon Danon. Community structure in jazz. Advances in Complex Systems, 6(4):565–573, 2003.