DBLP

This is the citation network of DBLP, a database of scientific publications such as papers and books. Each node in the network is a publication, and each edge represents a citation of a publication by another publication. In other words, the directed edge (A → B) denotes that publication A cites publication B. Publications are allowed to cite themselves, and therefore the network contains loops. The original dataset contains a small number (<100) of erroneous duplicate edges, i.e., a paper citing another paper multiple times. These have been removed from this version of the dataset.

Metadata

CodePi
Internal namedblp-cite
NameDBLP
Data sourcehttp://dblp.uni-trier.de/xml/
AvailabilityDataset is available for download
Consistency checkDataset passed all tests
Category
Citation network
Node meaningPublication
Edge meaningCitation
Network formatUnipartite, directed
Edge typeUnweighted, no multiple edges
Temporal data Edges are annotated with timestamps
ReciprocalContains reciprocal edges
Directed cyclesContains directed cycles
LoopsContains loops

Statistics

Size n =12,590
Volume m =49,759
Loop count l =15
Wedge count s =2,124,720
Claw count z =172,872,369
Cross count x =22,368,563,858
Triangle count t =43,896
Square count q =787,154
4-Tour count T4 =14,895,384
Maximum degree dmax =714
Maximum outdegree d+max =617
Maximum indegree dmax =227
Average degree d =7.904 53
Fill p =0.000 313 921
Size of LCC N =12,494
Size of LSCC Ns =240
Relative size of LSCC Nrs =0.019 062 7
Diameter δ =10
50-Percentile effective diameter δ0.5 =3.847 50
90-Percentile effective diameter δ0.9 =4.997 88
Median distance δM =4
Mean distance δm =4.372 20
Gini coefficient G =0.657 631
Balanced inequality ratio P =0.234 611
Outdegree balanced inequality ratio P+ =0.361 683
Indegree balanced inequality ratio P =0.262 244
Relative edge distribution entropy Her =0.907 783
Power law exponent γ =1.837 27
Tail power law exponent γt =3.391 00
Tail power law exponent with p γ3 =3.391 00
p-value p =0.466 000
Outdegree tail power law exponent with p γ3,o =3.611 00
Outdegree p-value po =0.000 00
Indegree tail power law exponent with p γ3,i =2.711 00
Indegree p-value pi =0.054 000 0
Degree assortativity ρ =−0.045 724 6
Degree assortativity p-value pρ =4.224 43 × 10−47
In/outdegree correlation ρ± =+0.011 711 9
Clustering coefficient c =0.061 979 0
Directed clustering coefficient c± =0.096 706 4
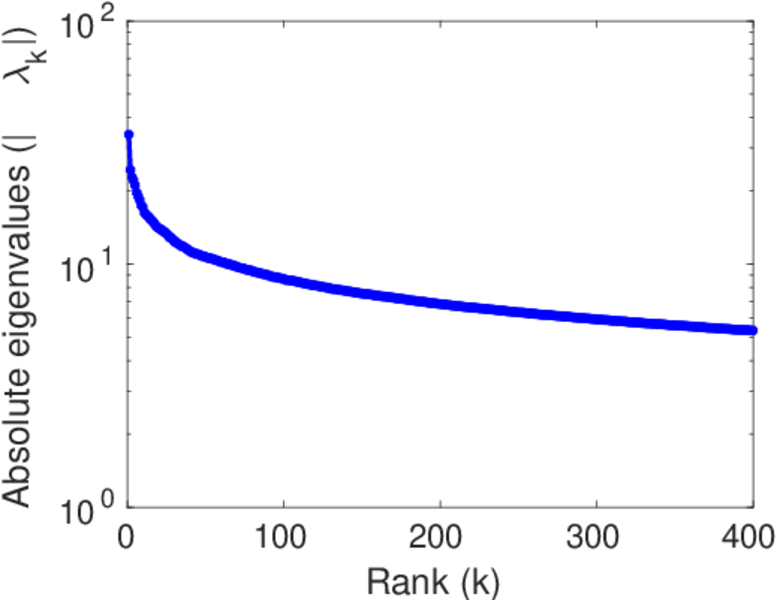
Spectral norm α =43.054 6
Operator 2-norm ν =34.102 3
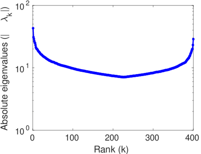
Cyclic eigenvalue π =4.676 83
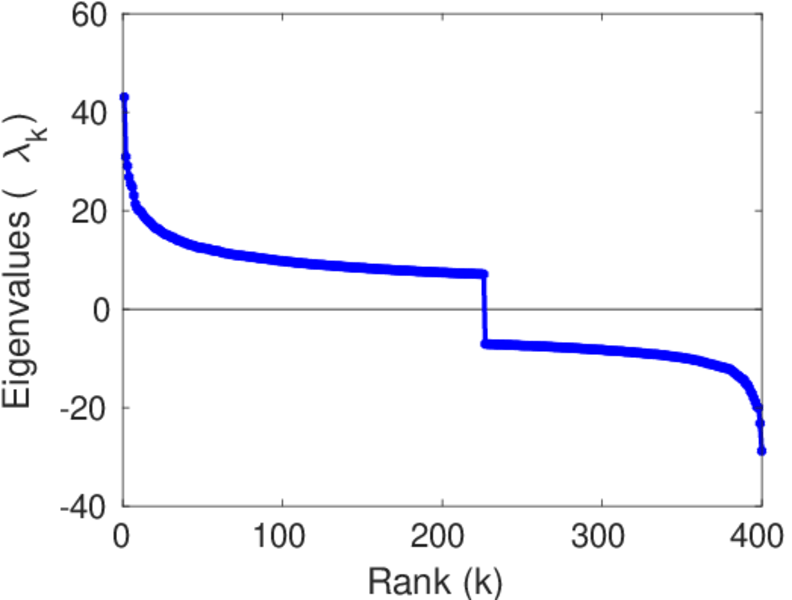
Algebraic connectivity a =0.085 199 2
Spectral separation 1[A] / λ2[A]| =1.390 85
Reciprocity y =0.004 642 38
Non-bipartivity bA =0.331 103
Normalized non-bipartivity bN =0.047 487 4
Algebraic non-bipartivity χ =0.085 170 6
Spectral bipartite frustration bK =0.002 682 08
Controllability C =9,453
Relative controllability Cr =0.750 834

Plots

Fruchterman–Reingold graph drawing

Degree distribution

Cumulative degree distribution

Lorenz curve

Spectral distribution of the adjacency matrix

Spectral distribution of the normalized adjacency matrix

Spectral distribution of the Laplacian

Spectral graph drawing based on the adjacency matrix

Spectral graph drawing based on the Laplacian

Spectral graph drawing based on the normalized adjacency matrix

Degree assortativity

Zipf plot

Hop distribution

Double Laplacian graph drawing

Delaunay graph drawing

In/outdegree scatter plot

Edge weight/multiplicity distribution

Clustering coefficient distribution

Average neighbor degree distribution

Temporal distribution

Temporal hop distribution

Diameter/density evolution

SynGraphy

Matrix decompositions plots

Downloads

References

[1] Jérôme Kunegis. KONECT – The Koblenz Network Collection. In Proc. Int. Conf. on World Wide Web Companion, pages 1343–1350, 2013. [ http ]
[2] Michael Ley. The DBLP computer science bibliography: Evolution, research issues, perspectives. In Proc. Int. Symposium on String Process. and Inf. Retr., pages 1–10, 2002.