Caenorhabditis elegans (neural)

This is a weighted directed network representing the neural network of Caenorhabditis elegans. The original network had directed edges allowing multiple parallel edges with integer weights. In this version, the network is undirected, allows no multiple edges, and the given edge weights are the sum of the original edge weights. As described in the original publication by J. G. White and colleagues, the data was assembled by hand and may contain a small number of errors. To cite: "We are reasonably confident that the structure that we present is substantially correct and gives a reasonable picture of the organization of the nervous system in a typical C. elegans hermaphrodite."

Metadata

CodeCE
Internal namedimacs10-celegansneural
NameCaenorhabditis elegans (neural)
Data sourcehttps://www.cc.gatech.edu/dimacs10/archive/clustering.shtml
AvailabilityDataset is available for download
Consistency checkDataset passed all tests
Category
Neural network
Dataset timestamp 1986
Node meaningNeuron
Edge meaningConnection
Network formatUnipartite, directed
Edge typePositive weights, no multiple edges
ReciprocalContains reciprocal edges
Directed cyclesContains directed cycles
LoopsDoes not contain loops
Snapshot Is a snapshot and likely to not contain all data
Multiplicity Does not have multiple edges, but the underlying data has

Statistics

Size n =297
Volume m =4,296
Loop count l =0
Wedge count s =53,804
Claw count z =7,341,160
Cross count x =307,724,064
Triangle count t =3,241
Square count q =44,636
4-Tour count T4 =576,600
Maximum degree dmax =268
Maximum outdegree d+max =134
Maximum indegree dmax =134
Average degree d =28.929 3
Fill p =0.048 867 0
Size of LCC N =297
Size of LSCC Ns =297
Relative size of LSCC Nrs =1.000 00
Diameter δ =5
50-Percentile effective diameter δ0.5 =1.929 02
90-Percentile effective diameter δ0.9 =2.891 73
Median distance δM =2
Mean distance δm =2.469 83
Gini coefficient G =0.385 480
Balanced inequality ratio P =0.362 430
Outdegree balanced inequality ratio P+ =0.362 430
Indegree balanced inequality ratio P =0.362 430
Relative edge distribution entropy Her =0.950 953
Power law exponent γ =1.421 43
Tail power law exponent γt =3.341 00
Tail power law exponent with p γ3 =3.341 00
p-value p =0.658 000
Outdegree tail power law exponent with p γ3,o =3.341 00
Outdegree p-value po =0.661 000
Indegree tail power law exponent with p γ3,i =3.341 00
Indegree p-value pi =0.649 000
Degree assortativity ρ =−0.163 199
Degree assortativity p-value pρ =4.990 05 × 10−27
In/outdegree correlation ρ± =+1.000 00
Clustering coefficient c =0.180 711
Directed clustering coefficient c± =0.180 711
Spectral norm α =412.892
Operator 2-norm ν =206.446
Cyclic eigenvalue π =206.446
Algebraic connectivity a =1.883 17
Spectral separation 1[A] / λ2[A]| =1.234 66
Reciprocity y =1.000 00
Non-bipartivity bA =0.473 226
Normalized non-bipartivity bN =0.451 282
Algebraic non-bipartivity χ =0.843 939
Spectral bipartite frustration bK =0.014 586 2
Controllability C =15
Relative controllability Cr =0.050 505 1

Plots

Fruchterman–Reingold graph drawing

Degree distribution

Cumulative degree distribution

Lorenz curve

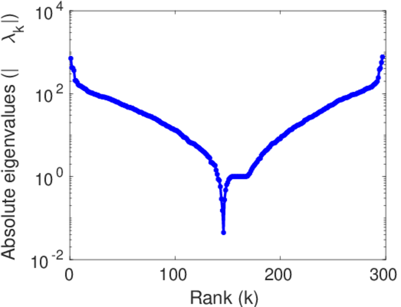
Spectral distribution of the adjacency matrix

Spectral distribution of the normalized adjacency matrix

Spectral distribution of the Laplacian

Spectral graph drawing based on the adjacency matrix

Spectral graph drawing based on the Laplacian

Spectral graph drawing based on the normalized adjacency matrix

Degree assortativity

Zipf plot

Hop distribution

Double Laplacian graph drawing

Delaunay graph drawing

In/outdegree scatter plot

Edge weight/multiplicity distribution

Clustering coefficient distribution

Average neighbor degree distribution

SynGraphy

Matrix decompositions plots

Downloads

References

[1] Jérôme Kunegis. KONECT – The Koblenz Network Collection. In Proc. Int. Conf. on World Wide Web Companion, pages 1343–1350, 2013. [ http ]
[2] Duncan J. Watts and Steven H. Strogatz. Collective dynamics of `small-world' networks. Nature, 393(1):440–442, 1998.
[3] John G. White, E. Southgate, J. N. Thomson, and S. Brenner. The structure of the nervous system of the nematode Caenorhabditis elegans. Phil. Trans. R. Soc. Lond, 314:1–340, 1986.