Political blogs

This is a directed network of hyperlinks between political blogs about politics in the United States of America.

Metadata

CodePB
Internal namedimacs10-polblogs
NamePolitical blogs
Data sourcehttps://www.cc.gatech.edu/dimacs10/archive/clustering.shtml
AvailabilityDataset is available for download
Consistency checkDataset passed all tests
Category
Hyperlink network
Dataset timestamp 2005
Node meaningBlog
Edge meaningLink
Network formatUnipartite, directed
Edge typeUnweighted, no multiple edges
ReciprocalContains reciprocal edges
Directed cyclesContains directed cycles
LoopsDoes not contain loops
Snapshot Is a snapshot and likely to not contain all data

Statistics

Size n =1,224
Volume m =33,430
Loop count l =0
Wedge count s =1,341,525
Claw count z =507,772,316
Cross count x =50,828,983,297
Triangle count t =101,043
Square count q =5,171,257
4-Tour count T4 =46,769,586
Maximum degree dmax =702
Maximum outdegree d+max =351
Maximum indegree dmax =351
Average degree d =54.624 2
Fill p =0.022 332 0
Size of LCC N =1,222
Size of LSCC Ns =1,222
Relative size of LSCC Nrs =0.998 366
Diameter δ =8
50-Percentile effective diameter δ0.5 =2.246 93
90-Percentile effective diameter δ0.9 =3.315 00
Median distance δM =3
Mean distance δm =2.746 67
Gini coefficient G =0.622 540
Balanced inequality ratio P =0.264 134
Outdegree balanced inequality ratio P+ =0.264 134
Indegree balanced inequality ratio P =0.264 134
Relative edge distribution entropy Her =0.902 489
Power law exponent γ =1.414 95
Tail power law exponent γt =2.381 00
Tail power law exponent with p γ3 =2.381 00
p-value p =0.000 00
Outdegree tail power law exponent with p γ3,o =2.381 00
Outdegree p-value po =0.000 00
Indegree tail power law exponent with p γ3,i =2.381 00
Indegree p-value pi =0.000 00
Degree assortativity ρ =−0.221 233
Degree assortativity p-value pρ =0.000 00
In/outdegree correlation ρ± =+1.000 00
Clustering coefficient c =0.225 959
Directed clustering coefficient c± =0.225 959
Spectral norm α =148.164
Operator 2-norm ν =74.082 0
Cyclic eigenvalue π =74.082 0
Algebraic connectivity a =0.337 383
Spectral separation 1[A] / λ2[A]| =1.235 92
Reciprocity y =1.000 00
Non-bipartivity bA =0.603 600
Normalized non-bipartivity bN =0.207 586
Algebraic non-bipartivity χ =0.299 050
Spectral bipartite frustration bK =0.002 733 03
Controllability C =164
Relative controllability Cr =0.133 987

Plots

Fruchterman–Reingold graph drawing

Degree distribution

Cumulative degree distribution

Lorenz curve

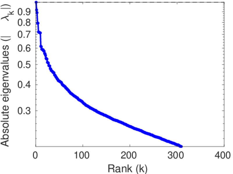
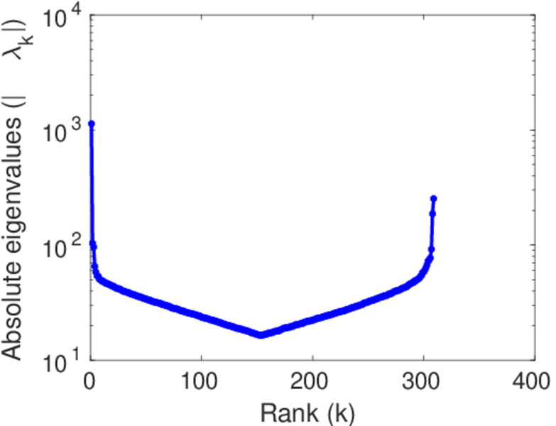
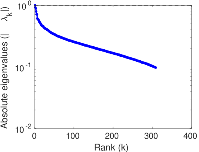
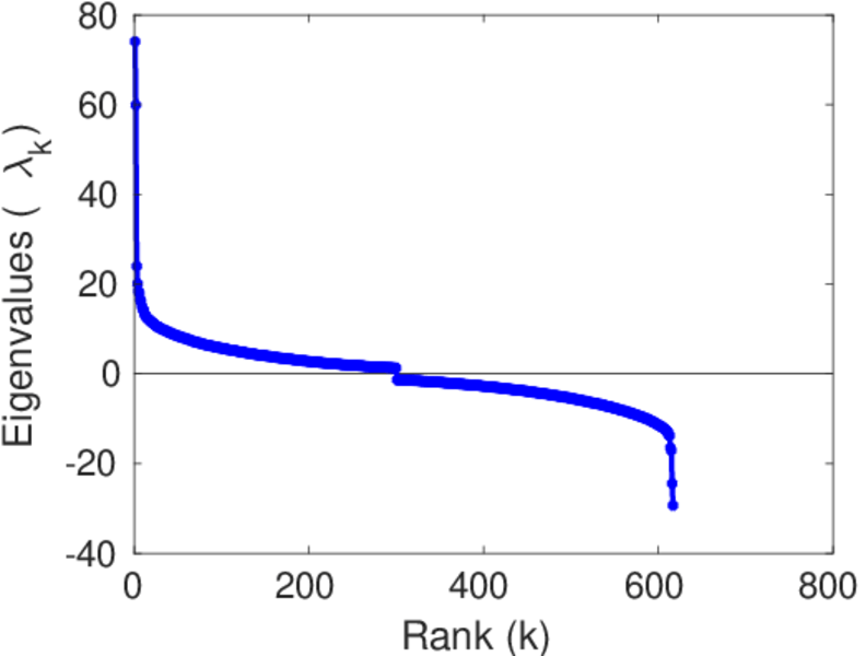
Spectral distribution of the adjacency matrix

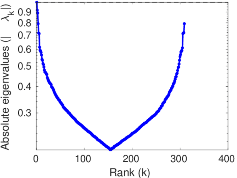
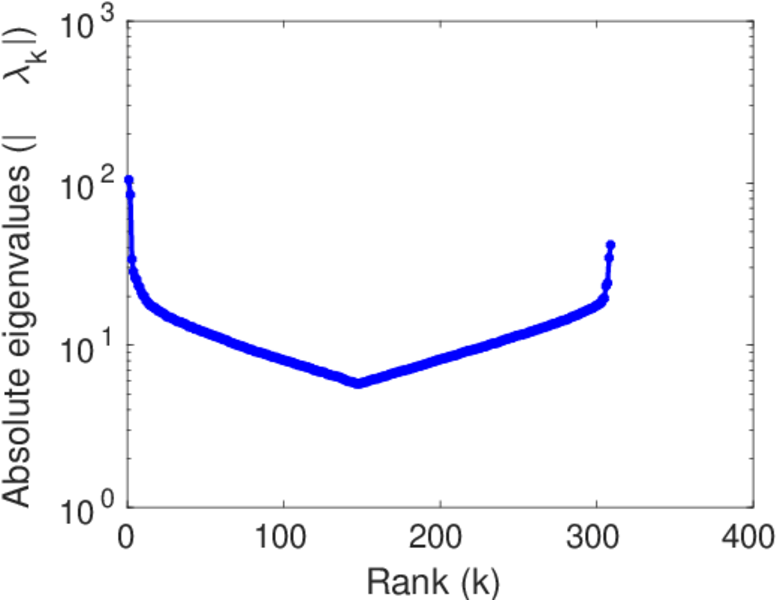
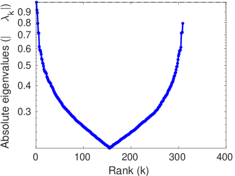
Spectral distribution of the normalized adjacency matrix

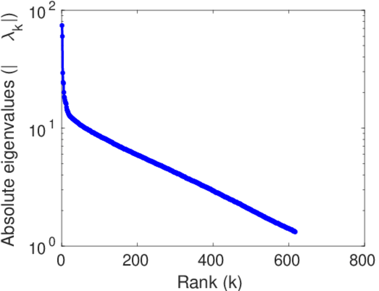
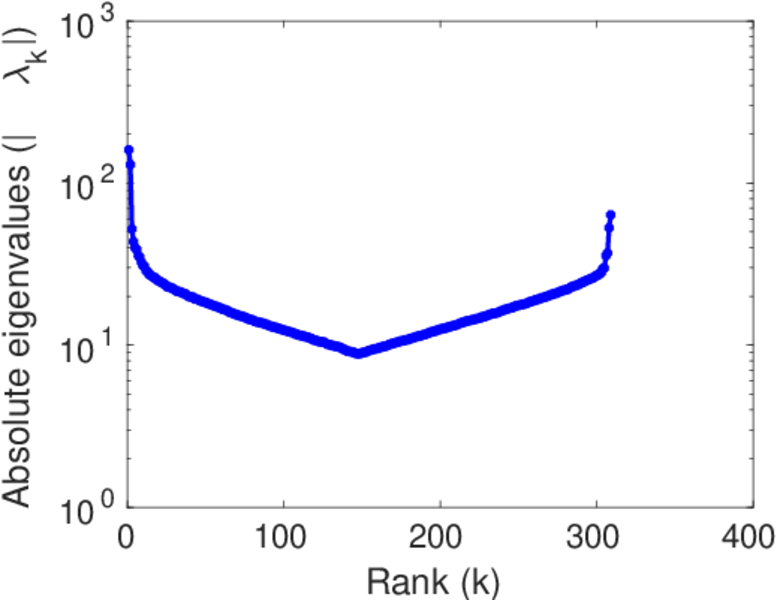
Spectral distribution of the Laplacian

Spectral graph drawing based on the adjacency matrix

Spectral graph drawing based on the Laplacian

Spectral graph drawing based on the normalized adjacency matrix

Degree assortativity

Zipf plot

Hop distribution

Double Laplacian graph drawing

Delaunay graph drawing

In/outdegree scatter plot

Clustering coefficient distribution

Average neighbor degree distribution

SynGraphy

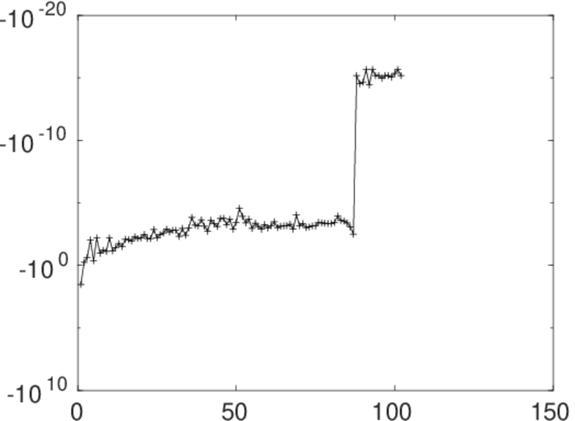
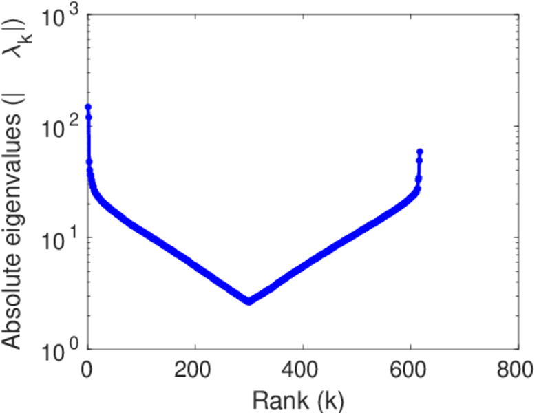
Matrix decompositions plots

Downloads

References

[1] Jérôme Kunegis. KONECT – The Koblenz Network Collection. In Proc. Int. Conf. on World Wide Web Companion, pages 1343–1350, 2013. [ http ]
[2] Lada A. Adamic and Natalie Glance. The political blogosphere and the 2004 US election: Divided they blog. In Proc. Int. Workshop on Link Discov., pages 36–43, 2005.