Wikipedia elections

This is the network of users from the English Wikipedia that voted for and against each other in admin elections. Nodes represent individual users, and edges represent votes. Edges can be positive ("for" vote) and negative ("against" vote). Each edge is annotated with the date of the vote. In the original dataset from the SNAP website, certain timestamps are from after 2050; the corresponding edges are not included in this version of the network.

Metadata

CodeEL
Internal nameelec
NameWikipedia elections
Data sourcehttp://snap.stanford.edu/data/wiki-Vote.html
AvailabilityDataset is available for download
Consistency checkDataset passed all tests
Category
Online contact network
Node meaningUser
Edge meaningVote
Network formatUnipartite, directed
Edge typeSigned, possibly weighted, no multiple edges
Temporal data Edges are annotated with timestamps
ReciprocalContains reciprocal edges
Directed cyclesContains directed cycles
LoopsContains loops
Snapshot Is a snapshot and likely to not contain all data

Statistics

Size n =7,118
Volume m =103,675
Loop count l =58
Wedge count s =14,524,030
Claw count z =1,728,582,938
Cross count x =236,350,375,650
Triangle count t =607,279
Square count q =57,518,620
4-Tour count T4 =518,446,466
Maximum degree dmax =1,167
Maximum outdegree d+max =893
Maximum indegree dmax =457
Average degree d =29.130 4
Fill p =0.002 046 25
Size of LCC N =7,066
Size of LSCC Ns =1,300
Relative size of LSCC Nrs =0.182 636
Diameter δ =7
50-Percentile effective diameter δ0.5 =2.731 44
90-Percentile effective diameter δ0.9 =3.785 37
Median distance δM =3
Mean distance δm =3.249 47
Gini coefficient G =0.751 952
Balanced inequality ratio P =0.202 093
Outdegree balanced inequality ratio P+ =0.175 404
Indegree balanced inequality ratio P =0.333 340
Relative edge distribution entropy Her =0.872 272
Power law exponent γ =1.536 52
Tail power law exponent γt =2.551 00
Tail power law exponent with p γ3 =2.551 00
p-value p =0.000 00
Outdegree tail power law exponent with p γ3,o =1.531 00
Outdegree p-value po =0.000 00
Indegree tail power law exponent with p γ3,i =3.391 00
Indegree p-value pi =0.003 000 00
Degree assortativity ρ =−0.083 038 6
Degree assortativity p-value pρ =5.616 46 × 10−305
In/outdegree correlation ρ± =+0.191 927
Clustering coefficient c =0.125 436
Directed clustering coefficient c± =0.164 481
Spectral norm α =117.248
Operator 2-norm ν =83.495 7
Cyclic eigenvalue π =33.547 7
Algebraic connectivity a =0.337 679
Spectral separation 1[A] / λ2[A]| =1.458 05
Reciprocity y =0.056 966 5
Non-bipartivity bA =0.593 127
Normalized non-bipartivity bN =0.100 581
Algebraic non-bipartivity χ =0.164 958
Spectral bipartite frustration bK =0.001 446 56
Negativity ζ =0.215 645
Algebraic conflict ξ =0.164 948
Triadic conflict τ =0.228 161
Spectral signed frustration φ =0.001 452 13
Controllability C =4,737
Relative controllability Cr =0.665 496

Plots

Fruchterman–Reingold graph drawing

Degree distribution

Cumulative degree distribution

Lorenz curve

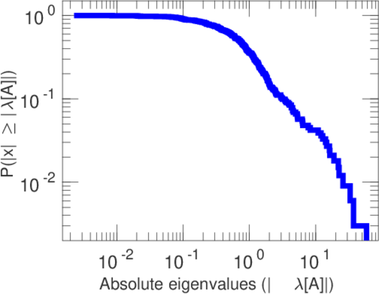
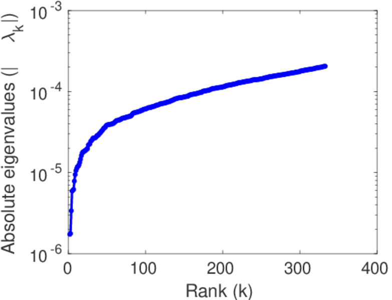
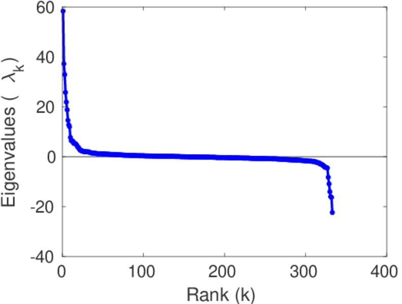
Spectral distribution of the adjacency matrix

Spectral distribution of the normalized adjacency matrix

Spectral distribution of the Laplacian

Spectral graph drawing based on the adjacency matrix

Spectral graph drawing based on the Laplacian

Spectral graph drawing based on the normalized adjacency matrix

Degree assortativity

Zipf plot

Hop distribution

Double Laplacian graph drawing

Delaunay graph drawing

In/outdegree scatter plot

Item rating evolution

Edge weight/multiplicity distribution

Clustering coefficient distribution

Average neighbor degree distribution

Temporal distribution

Temporal hop distribution

Diameter/density evolution

Signed temporal distribution

Rating class evolution

SynGraphy

Inter-event distribution

Node-level inter-event distribution

Matrix decompositions plots

Downloads

References

[1] Jérôme Kunegis. KONECT – The Koblenz Network Collection. In Proc. Int. Conf. on World Wide Web Companion, pages 1343–1350, 2013. [ http ]
[2] Jure Leskovec, Daniel Huttenlocher, and Jon Kleinberg. Governance in social media: A case study of the Wikipedia promotion process. In Proc. Int. Conf. on Weblogs and Soc. Media, 2010.