LiquidFeedback (all)

Metadata

CodeLa
Internal namelqfb-All
NameLiquidFeedback (all)
AvailabilityDataset is not available for download
Consistency checkDataset passed all tests
Category
Online contact network
Network formatUnipartite, directed
Edge typeDynamic
Temporal data Edges are annotated with timestamps
ReciprocalContains reciprocal edges
Directed cyclesContains directed cycles
LoopsDoes not contain loops

Statistics

Size n =2,154
Volume m =18,060
Unique edge count m̿ =6,835
Loop count l =0
Wedge count s =336,357
Claw count z =11,866,317
Cross count x =573,459,722
Triangle count t =10,721
Square count q =143,954
4-Tour count T4 =2,164,844
Maximum degree dmax =1,051
Maximum outdegree d+max =325
Maximum indegree dmax =900
Average degree d =16.768 8
Fill p =0.001 597 45
Average edge multiplicity m̃ =2.642 28
Size of LCC N =2,056
Size of LSCC Ns =386
Relative size of LSCC Nrs =0.179 201
Diameter δ =10
50-Percentile effective diameter δ0.5 =3.104 91
90-Percentile effective diameter δ0.9 =4.404 96
Median distance δM =4
Mean distance δm =3.620 48
Gini coefficient G =0.683 913
Balanced inequality ratio P =0.227 871
Outdegree balanced inequality ratio P+ =0.275 347
Indegree balanced inequality ratio P =0.208 193
Relative edge distribution entropy Her =0.863 855
Power law exponent γ =2.019 63
Tail power law exponent γt =2.771 00
Tail power law exponent with p γ3 =2.771 00
p-value p =0.059 000 0
Outdegree tail power law exponent with p γ3,o =2.981 00
Outdegree p-value po =0.504 000
Indegree tail power law exponent with p γ3,i =1.691 00
Indegree p-value pi =0.000 00
Degree assortativity ρ =−0.154 289
Degree assortativity p-value pρ =7.290 93 × 10−70
In/outdegree correlation ρ± =+0.281 949
Clustering coefficient c =0.095 621 6
Directed clustering coefficient c± =0.106 474
Spectral norm α =110.241
Operator 2-norm ν =81.133 1
Cyclic eigenvalue π =34.814 2
Algebraic connectivity a =0.141 220
Spectral separation 1[A] / λ2[A]| =1.424 76
Reciprocity y =0.103 877
Non-bipartivity bA =0.527 836
Normalized non-bipartivity bN =0.082 707 9
Algebraic non-bipartivity χ =0.135 392
Spectral bipartite frustration bK =0.005 168 90
Controllability C =1,285
Relative controllability Cr =0.621 073

Plots

Fruchterman–Reingold graph drawing

Degree distribution

Cumulative degree distribution

Lorenz curve

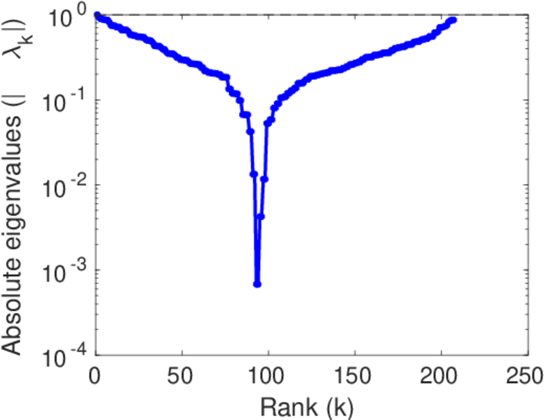
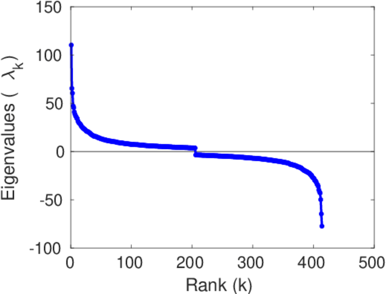
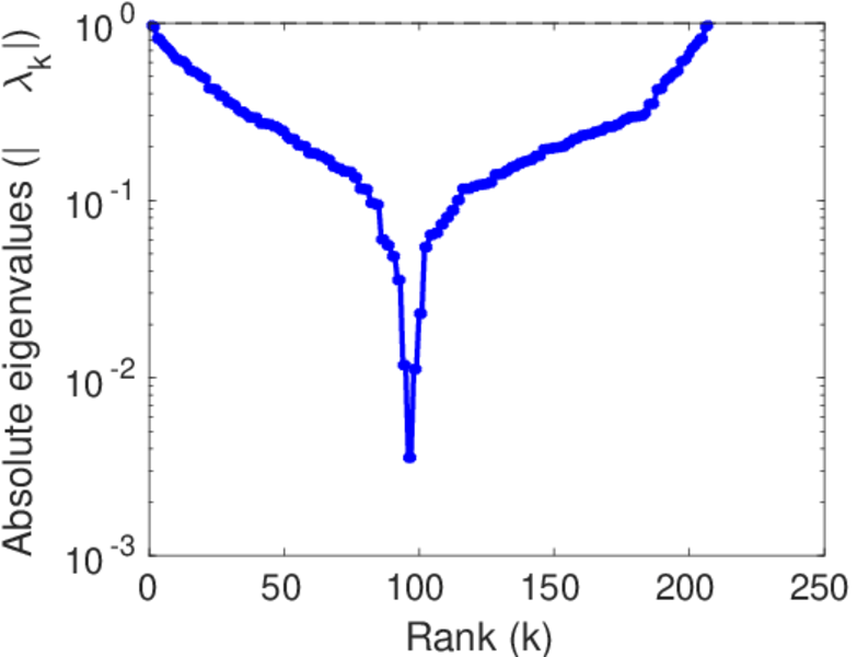
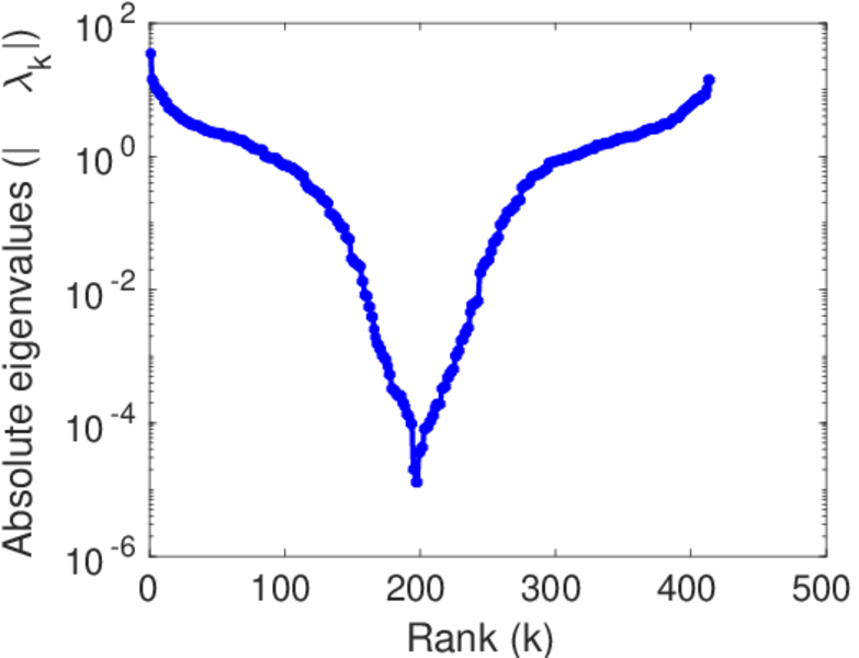
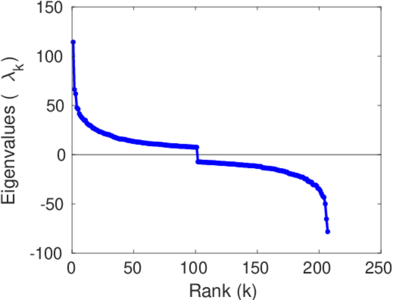
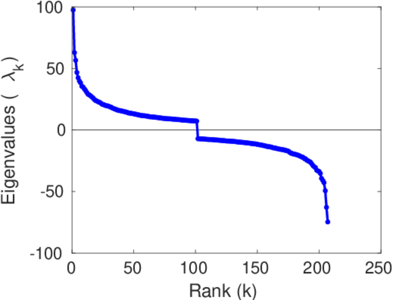
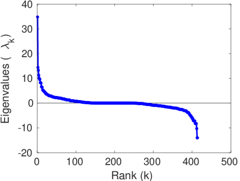
Spectral distribution of the adjacency matrix

Spectral distribution of the normalized adjacency matrix

Spectral distribution of the Laplacian

Spectral graph drawing based on the adjacency matrix

Spectral graph drawing based on the Laplacian

Spectral graph drawing based on the normalized adjacency matrix

Degree assortativity

Zipf plot

Hop distribution

Double Laplacian graph drawing

Delaunay graph drawing

In/outdegree scatter plot

Clustering coefficient distribution

Average neighbor degree distribution

Temporal distribution

Temporal hop distribution

Diameter/density evolution

Signed temporal distribution

SynGraphy

Inter-event distribution

Node-level inter-event distribution

Matrix decompositions plots

References

[1] Jérôme Kunegis. KONECT – The Koblenz Network Collection. In Proc. Int. Conf. on World Wide Web Companion, pages 1343–1350, 2013. [ http ]
[2] Christoph Carl Kling, Jérôme Kunegis, Heinrich Hartmann, Markus Strohmaier, and Steffen Staab. Voting behaviour and power in online democracy: A study of LiquidFeedback in Germany's Pirate Party. In Proc. Int. Conf. on Weblogs and Soc. Media, pages 208–217, 2015. [ http ]