LiquidFeedback (areas)

Metadata

CodeLa
Internal namelqfb-Area
NameLiquidFeedback (areas)
AvailabilityDataset is not available for download
Consistency checkDataset passed all tests
Category
Online contact network
Network formatUnipartite, directed
Edge typeDynamic
Temporal data Edges are annotated with timestamps
ReciprocalContains reciprocal edges
Directed cyclesContains directed cycles
LoopsDoes not contain loops

Statistics

Size n =1,414
Volume m =8,154
Unique edge count m̿ =3,102
Loop count l =0
Wedge count s =107,313
Claw count z =1,043,261
Cross count x =19,398,980
Triangle count t =2,931
Square count q =10,734
4-Tour count T4 =320,908
Maximum degree dmax =407
Maximum outdegree d+max =155
Maximum indegree dmax =331
Average degree d =11.533 2
Fill p =0.001 859 74
Average edge multiplicity m̃ =2.628 63
Size of LCC N =1,347
Size of LSCC Ns =156
Relative size of LSCC Nrs =0.110 325
Diameter δ =11
50-Percentile effective diameter δ0.5 =3.402 44
90-Percentile effective diameter δ0.9 =4.913 37
Median distance δM =4
Mean distance δm =3.940 89
Gini coefficient G =0.605 961
Balanced inequality ratio P =0.262 250
Outdegree balanced inequality ratio P+ =0.318 182
Indegree balanced inequality ratio P =0.225 338
Relative edge distribution entropy Her =0.892 764
Power law exponent γ =2.114 90
Tail power law exponent γt =2.471 00
Tail power law exponent with p γ3 =2.471 00
p-value p =0.134 000
Outdegree tail power law exponent with p γ3,o =5.321 00
Outdegree p-value po =0.331 000
Indegree tail power law exponent with p γ3,i =1.771 00
Indegree p-value pi =0.092 000 0
Degree assortativity ρ =−0.182 797
Degree assortativity p-value pρ =2.483 30 × 10−46
In/outdegree correlation ρ± =+0.089 696 7
Clustering coefficient c =0.081 937 9
Directed clustering coefficient c± =0.084 382 2
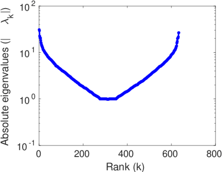
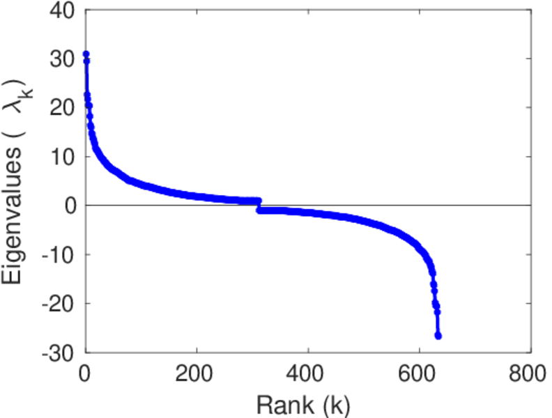
Spectral norm α =30.931 2
Operator 2-norm ν =26.604 6
Cyclic eigenvalue π =7.975 94
Algebraic connectivity a =0.087 648 8
Spectral separation 1[A] / λ2[A]| =1.050 57
Reciprocity y =0.061 895 6
Non-bipartivity bA =0.373 245
Normalized non-bipartivity bN =0.054 582 8
Algebraic non-bipartivity χ =0.097 111 8
Spectral bipartite frustration bK =0.004 954 01
Controllability C =804
Relative controllability Cr =0.622 291

Plots

Fruchterman–Reingold graph drawing

Degree distribution

Cumulative degree distribution

Lorenz curve

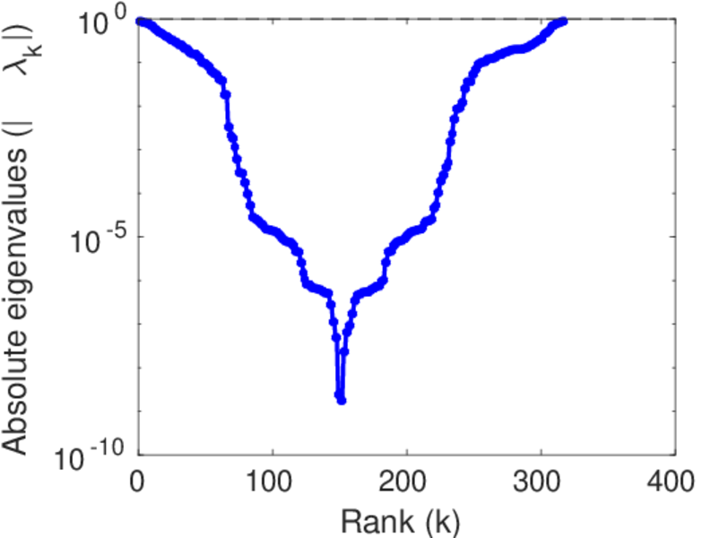
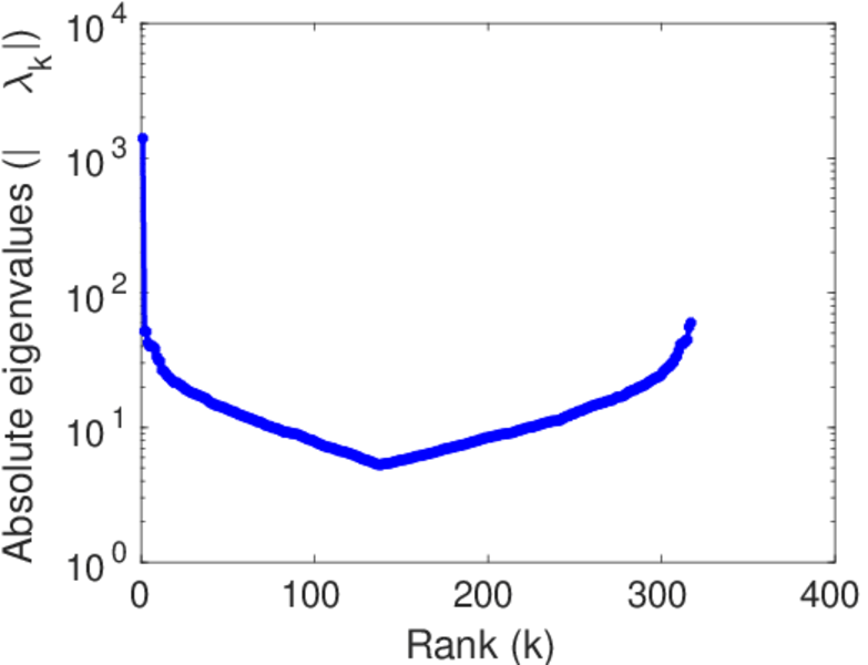
Spectral distribution of the adjacency matrix

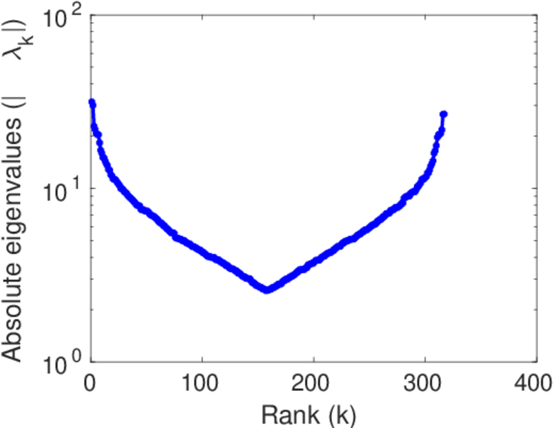
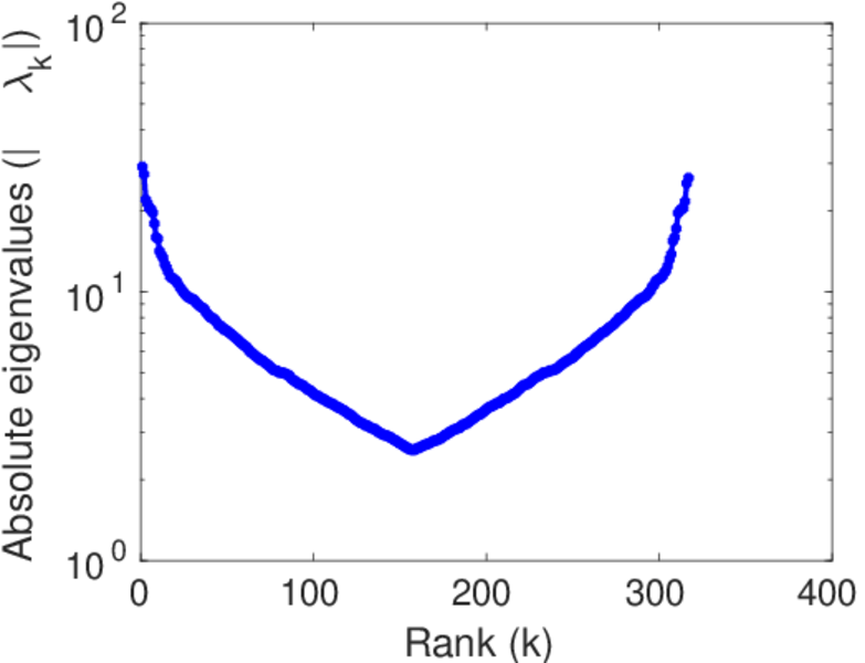
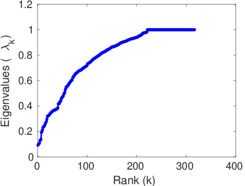
Spectral distribution of the normalized adjacency matrix

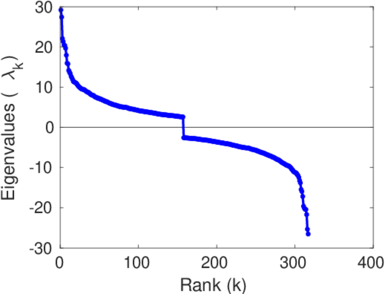
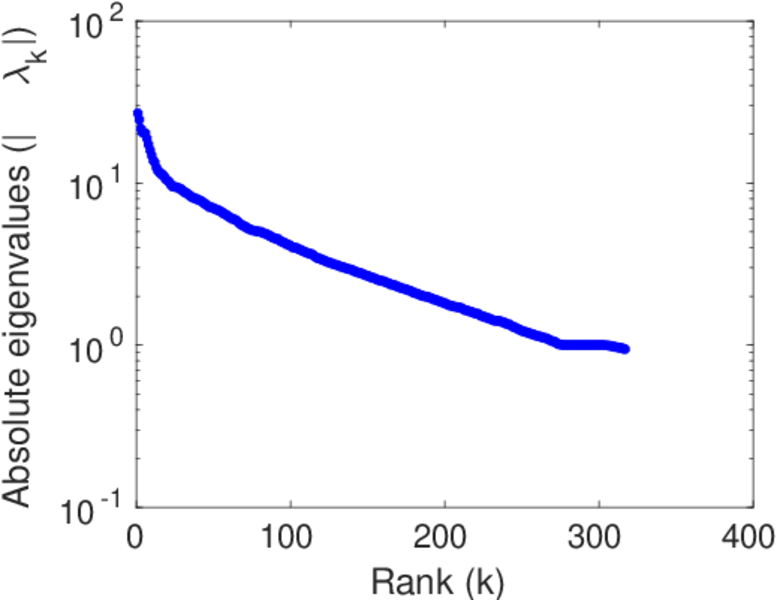
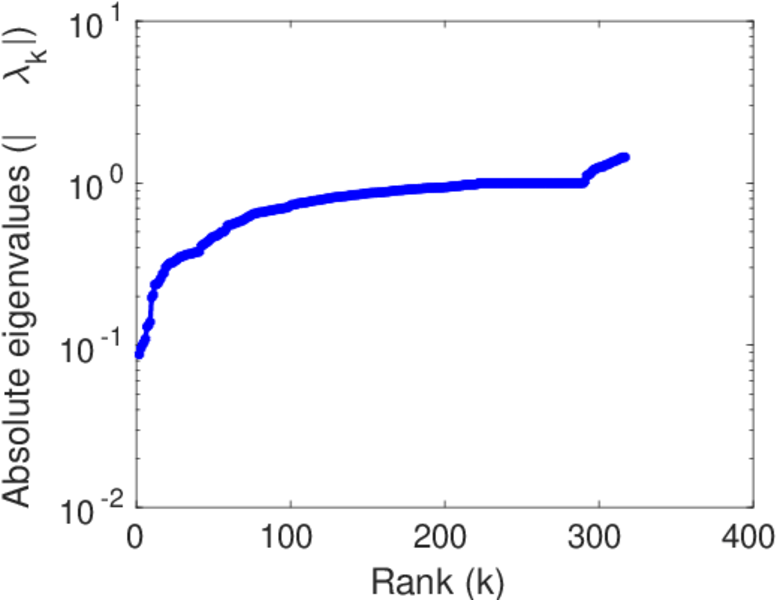
Spectral distribution of the Laplacian

Spectral graph drawing based on the adjacency matrix

Spectral graph drawing based on the Laplacian

Spectral graph drawing based on the normalized adjacency matrix

Degree assortativity

Zipf plot

Hop distribution

Double Laplacian graph drawing

Delaunay graph drawing

In/outdegree scatter plot

Clustering coefficient distribution

Average neighbor degree distribution

Temporal distribution

Temporal hop distribution

Diameter/density evolution

Signed temporal distribution

SynGraphy

Inter-event distribution

Node-level inter-event distribution

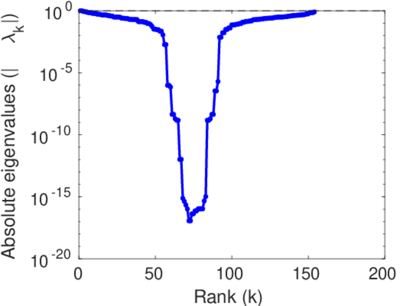
Matrix decompositions plots

References

[1] Jérôme Kunegis. KONECT – The Koblenz Network Collection. In Proc. Int. Conf. on World Wide Web Companion, pages 1343–1350, 2013. [ http ]
[2] Christoph Carl Kling, Jérôme Kunegis, Heinrich Hartmann, Markus Strohmaier, and Steffen Staab. Voting behaviour and power in online democracy: A study of LiquidFeedback in Germany's Pirate Party. In Proc. Int. Conf. on Weblogs and Soc. Media, pages 208–217, 2015. [ http ]