LiquidFeedback (issues)

Metadata

CodeLi
Internal namelqfb-Issue
NameLiquidFeedback (issues)
AvailabilityDataset is not available for download
Consistency checkDataset passed all tests
Category
Online contact network
Network formatUnipartite, directed
Edge typeDynamic
Temporal data Edges are annotated with timestamps
ReciprocalContains reciprocal edges
Directed cyclesContains directed cycles
LoopsDoes not contain loops

Statistics

Size n =1,271
Volume m =7,721
Unique edge count m̿ =3,745
Loop count l =0
Wedge count s =105,502
Claw count z =2,553,200
Cross count x =62,541,566
Triangle count t =3,696
Square count q =52,466
4-Tour count T4 =810,920
Maximum degree dmax =465
Maximum outdegree d+max =316
Maximum indegree dmax =351
Average degree d =12.149 5
Fill p =0.002 429 73
Average edge multiplicity m̃ =2.061 68
Size of LCC N =1,181
Size of LSCC Ns =201
Relative size of LSCC Nrs =0.158 143
Diameter δ =9
50-Percentile effective diameter δ0.5 =3.101 38
90-Percentile effective diameter δ0.9 =4.519 12
Median distance δM =4
Mean distance δm =3.635 06
Gini coefficient G =0.661 433
Balanced inequality ratio P =0.232 844
Outdegree balanced inequality ratio P+ =0.266 489
Indegree balanced inequality ratio P =0.237 917
Relative edge distribution entropy Her =0.871 232
Power law exponent γ =2.035 42
Tail power law exponent γt =2.331 00
Tail power law exponent with p γ3 =2.331 00
p-value p =0.014 000 0
Outdegree tail power law exponent with p γ3,o =2.591 00
Outdegree p-value po =0.198 000
Indegree tail power law exponent with p γ3,i =1.721 00
Indegree p-value pi =0.000 00
Degree assortativity ρ =−0.089 705 1
Degree assortativity p-value pρ =2.548 02 × 10−14
In/outdegree correlation ρ± =+0.167 299
Clustering coefficient c =0.105 098
Directed clustering coefficient c± =0.107 603
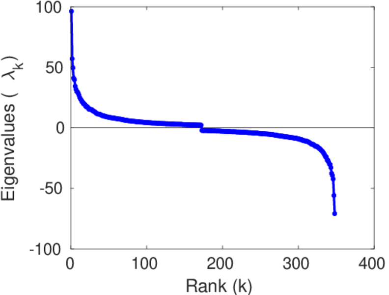
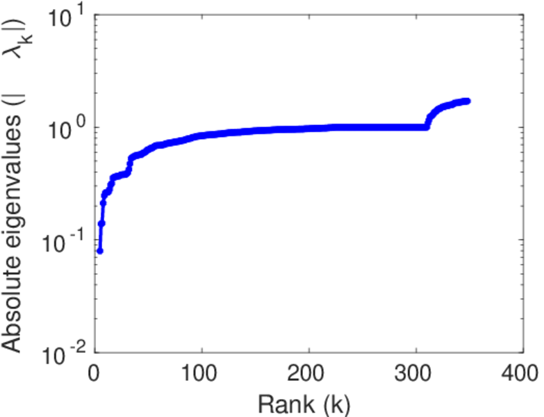
Spectral norm α =93.453 2
Operator 2-norm ν =71.865 0
Cyclic eigenvalue π =26.933 1
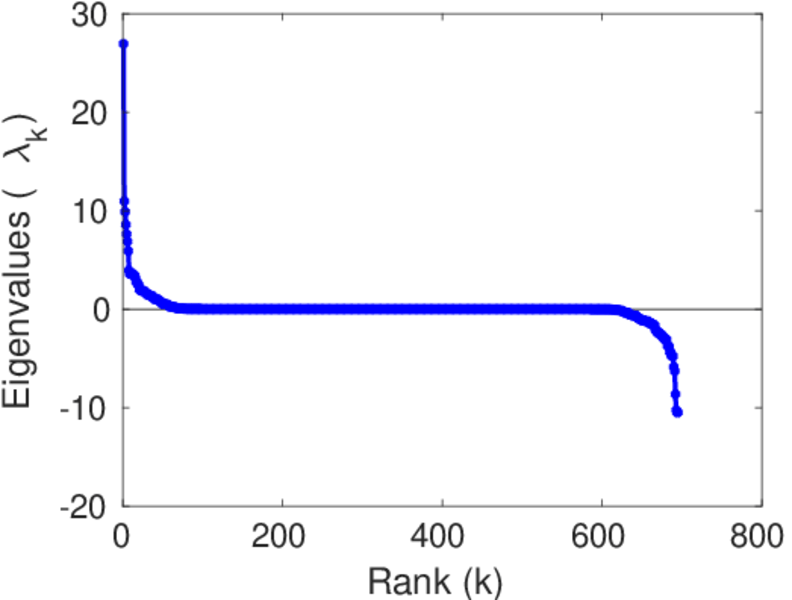
Algebraic connectivity a =0.130 934
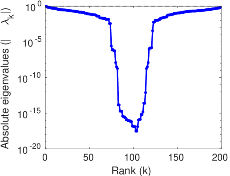
Spectral separation 1[A] / λ2[A]| =1.327 33
Reciprocity y =0.080 640 9
Non-bipartivity bA =0.558 222
Normalized non-bipartivity bN =0.066 744 8
Algebraic non-bipartivity χ =0.111 149
Spectral bipartite frustration bK =0.004 534 63
Controllability C =724
Relative controllability Cr =0.582 931

Plots

Fruchterman–Reingold graph drawing

Degree distribution

Cumulative degree distribution

Lorenz curve

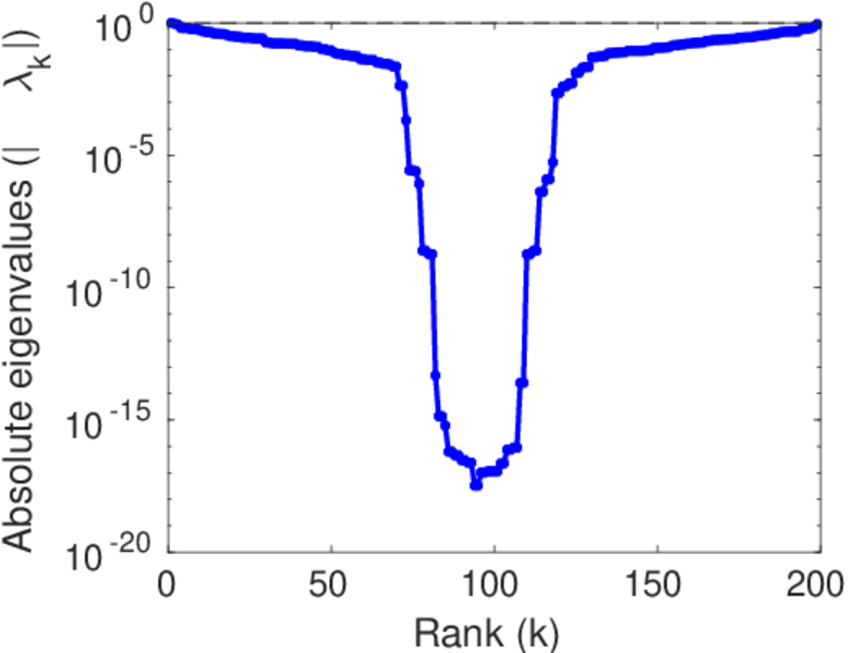
Spectral distribution of the adjacency matrix

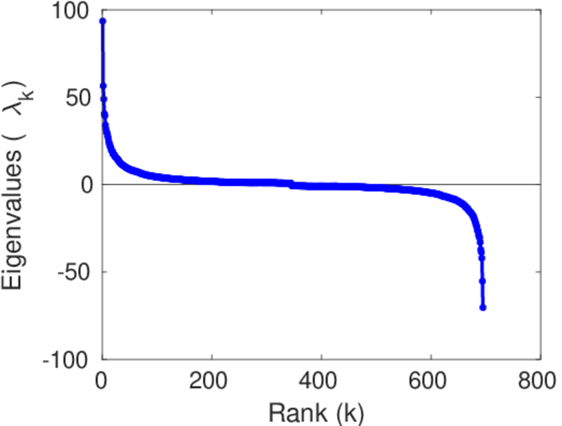
Spectral distribution of the normalized adjacency matrix

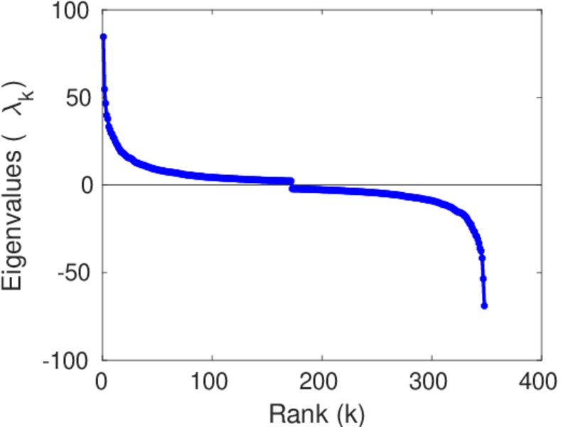
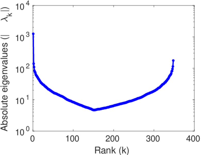
Spectral distribution of the Laplacian

Spectral graph drawing based on the adjacency matrix

Spectral graph drawing based on the Laplacian

Spectral graph drawing based on the normalized adjacency matrix

Degree assortativity

Zipf plot

Hop distribution

Double Laplacian graph drawing

Delaunay graph drawing

In/outdegree scatter plot

Clustering coefficient distribution

Average neighbor degree distribution

Temporal distribution

Temporal hop distribution

Diameter/density evolution

Signed temporal distribution

SynGraphy

Inter-event distribution

Node-level inter-event distribution

Matrix decompositions plots

References

[1] Jérôme Kunegis. KONECT – The Koblenz Network Collection. In Proc. Int. Conf. on World Wide Web Companion, pages 1343–1350, 2013. [ http ]
[2] Christoph Carl Kling, Jérôme Kunegis, Heinrich Hartmann, Markus Strohmaier, and Steffen Staab. Voting behaviour and power in online democracy: A study of LiquidFeedback in Germany's Pirate Party. In Proc. Int. Conf. on Weblogs and Soc. Media, pages 208–217, 2015. [ http ]