LiquidFeedback (units)

Metadata

CodeLu
Internal namelqfb-Unit
NameLiquidFeedback (units)
AvailabilityDataset is not available for download
Consistency checkDataset passed all tests
Category
Online contact network
Network formatUnipartite, directed
Edge typeDynamic
Temporal data Edges are annotated with timestamps
ReciprocalContains reciprocal edges
Directed cyclesContains directed cycles
LoopsDoes not contain loops

Statistics

Size n =770
Volume m =931
Unique edge count m̿ =609
Loop count l =0
Wedge count s =5,965
Claw count z =48,340
Cross count x =597,037
Triangle count t =23
Square count q =3
4-Tour count T4 =16,844
Maximum degree dmax =82
Maximum outdegree d+max =11
Maximum indegree dmax =79
Average degree d =2.418 18
Fill p =0.001 220 09
Average edge multiplicity m̃ =1.528 74
Size of LCC N =532
Size of LSCC Ns =7
Relative size of LSCC Nrs =0.009 090 91
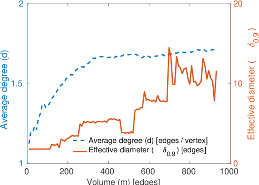
Diameter δ =18
50-Percentile effective diameter δ0.5 =6.010 49
90-Percentile effective diameter δ0.9 =9.752 16
Median distance δM =7
Mean distance δm =6.629 36
Gini coefficient G =0.376 560
Balanced inequality ratio P =0.365 353
Outdegree balanced inequality ratio P+ =0.486 043
Indegree balanced inequality ratio P =0.292 282
Relative edge distribution entropy Her =0.925 934
Power law exponent γ =5.097 12
Tail power law exponent γt =2.641 00
Tail power law exponent with p γ3 =2.641 00
p-value p =0.183 000
Outdegree tail power law exponent with p γ3,o =5.161 00
Outdegree p-value po =0.249 000
Indegree tail power law exponent with p γ3,i =2.091 00
Indegree p-value pi =0.650 000
Degree assortativity ρ =−0.175 045
Degree assortativity p-value pρ =1.030 56 × 10−9
In/outdegree correlation ρ± =−0.270 040
Clustering coefficient c =0.011 567 5
Directed clustering coefficient c± =0.012 594 5
Spectral norm α =7.785 61
Operator 2-norm ν =7.697 50
Cyclic eigenvalue π =0.623 490
Algebraic connectivity a =0.003 932 50
Spectral separation 1[A] / λ2[A]| =1.000 64
Reciprocity y =0.029 556 7
Non-bipartivity bA =0.000 637 989
Normalized non-bipartivity bN =0.006 504 81
Algebraic non-bipartivity χ =0.012 882 5
Spectral bipartite frustration bK =0.001 563 26
Controllability C =476
Relative controllability Cr =0.673 267

Plots

Fruchterman–Reingold graph drawing

Degree distribution

Cumulative degree distribution

Lorenz curve

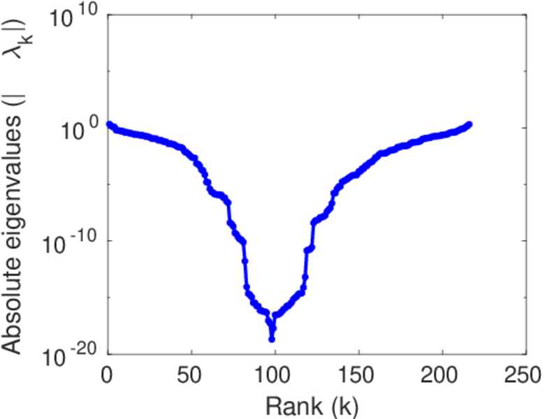
Spectral distribution of the adjacency matrix

Spectral distribution of the normalized adjacency matrix

Spectral distribution of the Laplacian

Spectral graph drawing based on the adjacency matrix

Spectral graph drawing based on the Laplacian

Spectral graph drawing based on the normalized adjacency matrix

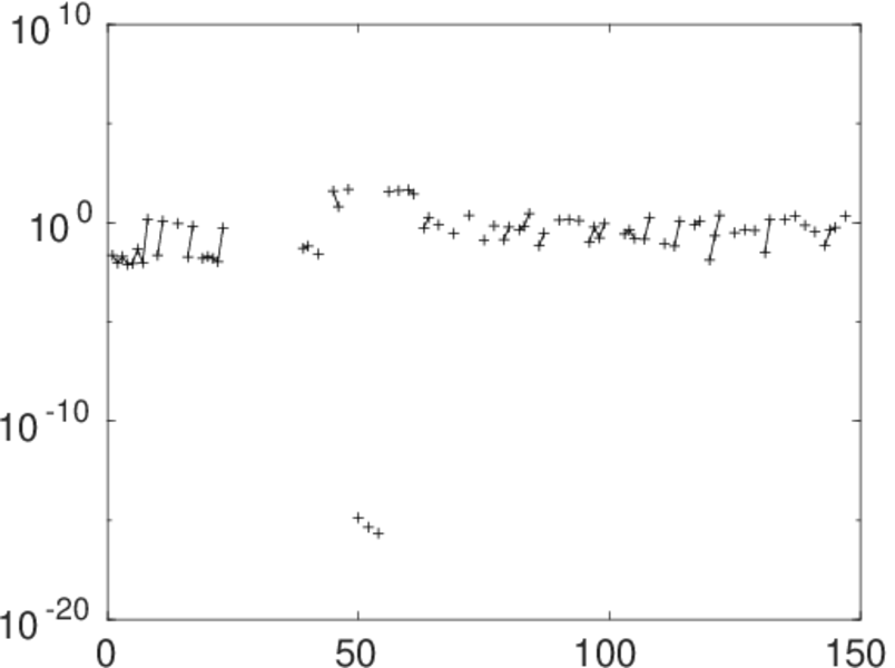
Degree assortativity

Zipf plot

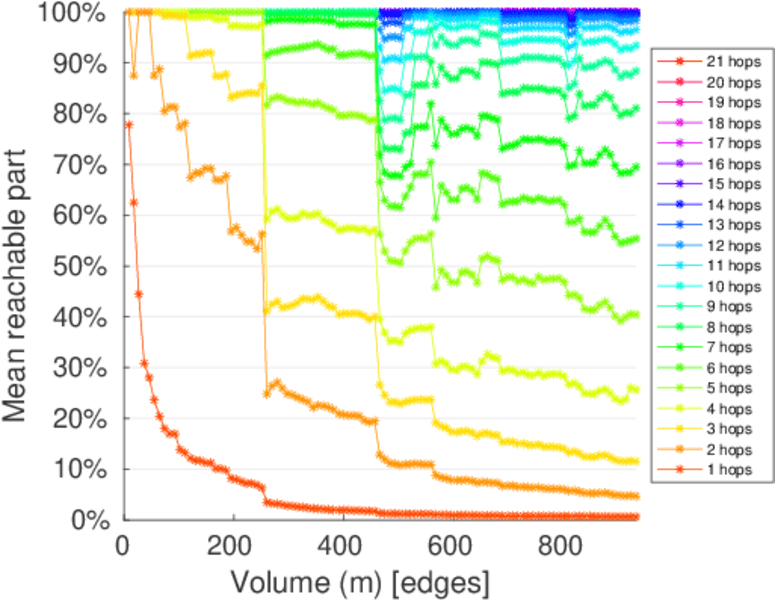
Hop distribution

Double Laplacian graph drawing

Delaunay graph drawing

In/outdegree scatter plot

Clustering coefficient distribution

Average neighbor degree distribution

Temporal distribution

Temporal hop distribution

Diameter/density evolution

Signed temporal distribution

SynGraphy

Inter-event distribution

Node-level inter-event distribution

Matrix decompositions plots

References

[1] Jérôme Kunegis. KONECT – The Koblenz Network Collection. In Proc. Int. Conf. on World Wide Web Companion, pages 1343–1350, 2013. [ http ]
[2] Christoph Carl Kling, Jérôme Kunegis, Heinrich Hartmann, Markus Strohmaier, and Steffen Staab. Voting behaviour and power in online democracy: A study of LiquidFeedback in Germany's Pirate Party. In Proc. Int. Conf. on Weblogs and Soc. Media, pages 208–217, 2015. [ http ]