Air traffic control

This network was constructed from the USA's FAA (Federal Aviation Administration) National Flight Data Center (NFDC), Preferred Routes Database. Nodes in this network represent airports or service centers and links are created from strings of preferred routes recommended by the NFDC.

Metadata

CodeTC
Internal namemaayan-faa
NameAir traffic control
Data sourcehttp://research.mssm.edu/maayan/datasets/qualitative_networks.shtml
AvailabilityDataset is available for download
Consistency checkDataset passed all tests
Category
Infrastructure network
Node meaningAirport/service center
Edge meaningPreferred route
Network formatUnipartite, directed
Edge typeUnweighted, no multiple edges
ReciprocalContains reciprocal edges
Directed cyclesContains directed cycles
LoopsContains loops

Statistics

Size n =1,226
Volume m =2,615
Loop count l =2
Wedge count s =15,307
Claw count z =94,389
Cross count x =461,087
Triangle count t =326
Square count q =1,103
4-Tour count T4 =74,868
Maximum degree dmax =37
Maximum outdegree d+max =24
Maximum indegree dmax =20
Average degree d =4.265 91
Fill p =0.001 739 77
Size of LCC N =1,226
Size of LSCC Ns =792
Relative size of LSCC Nrs =0.646 003
Diameter δ =17
50-Percentile effective diameter δ0.5 =5.524 77
90-Percentile effective diameter δ0.9 =8.054 20
Median distance δM =6
Mean distance δm =6.097 86
Gini coefficient G =0.428 460
Balanced inequality ratio P =0.334 417
Outdegree balanced inequality ratio P+ =0.321 989
Indegree balanced inequality ratio P =0.342 639
Relative edge distribution entropy Her =0.951 408
Power law exponent γ =1.905 32
Tail power law exponent γt =3.701 00
Tail power law exponent with p γ3 =3.701 00
p-value p =0.185 000
Outdegree tail power law exponent with p γ3,o =2.031 00
Outdegree p-value po =0.000 00
Indegree tail power law exponent with p γ3,i =3.411 00
Indegree p-value pi =0.029 000 0
Degree assortativity ρ =−0.015 202 8
Degree assortativity p-value pρ =0.291 508
In/outdegree correlation ρ± =+0.595 248
Clustering coefficient c =0.063 892 3
Directed clustering coefficient c± =0.049 203 8
Spectral norm α =11.454 8
Operator 2-norm ν =6.411 86
Cyclic eigenvalue π =5.248 33
Algebraic connectivity a =0.025 827 8
Spectral separation 1[A] / λ2[A]| =1.149 38
Reciprocity y =0.157 553
Non-bipartivity bA =0.320 044
Normalized non-bipartivity bN =0.013 871 1
Algebraic non-bipartivity χ =0.025 807 5
Spectral bipartite frustration bK =0.001 641 08
Controllability C =364
Relative controllability Cr =0.296 900

Plots

Fruchterman–Reingold graph drawing

Degree distribution

Cumulative degree distribution

Lorenz curve

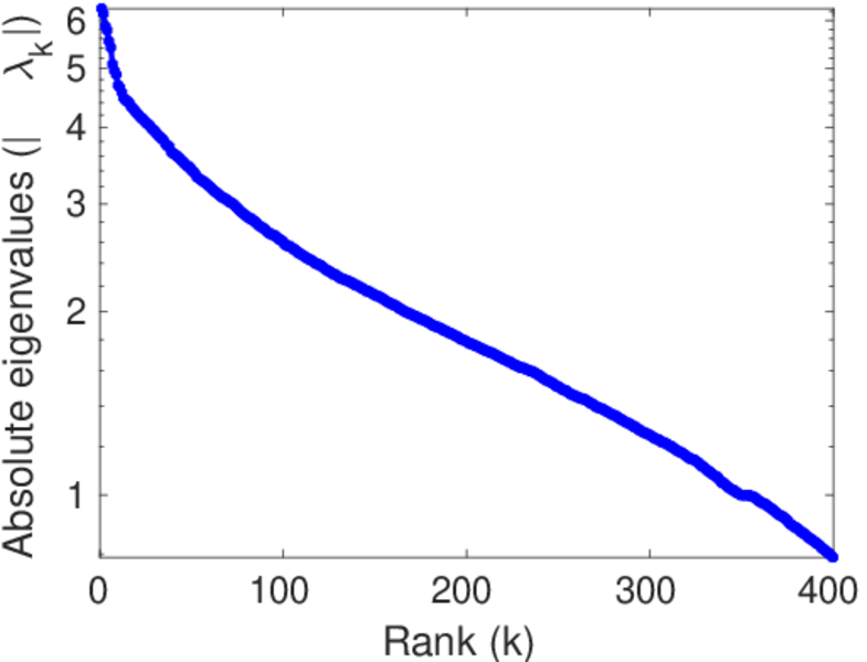
Spectral distribution of the adjacency matrix

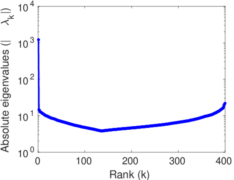
Spectral distribution of the normalized adjacency matrix

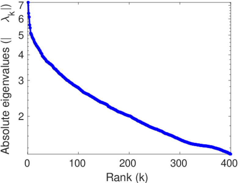
Spectral distribution of the Laplacian

Spectral graph drawing based on the adjacency matrix

Spectral graph drawing based on the Laplacian

Spectral graph drawing based on the normalized adjacency matrix

Degree assortativity

Zipf plot

Hop distribution

Double Laplacian graph drawing

Delaunay graph drawing

In/outdegree scatter plot

Clustering coefficient distribution

Average neighbor degree distribution

SynGraphy

Matrix decompositions plots

Downloads

References

[1] Jérôme Kunegis. KONECT – The Koblenz Network Collection. In Proc. Int. Conf. on World Wide Web Companion, pages 1343–1350, 2013. [ http ]
[2] Federal Aviation Administration. Air traffic control system command center. http://www.fly.faa.gov/.