Little Rock Lake

The is the food web of Little Rock Lake, Wisconsin in the United States of America. Nodes in this network are autotrophs, herbivores, carnivores and decomposers; links represent food sources.

Metadata

CodeML
Internal namemaayan-foodweb
NameLittle Rock Lake
Data sourcehttp://research.mssm.edu/maayan/datasets/qualitative_networks.shtml
AvailabilityDataset is available for download
Consistency checkDataset passed all tests
Category
Trophic network
Node meaningAutotroph/herbivore/carnivore/decomposer
Edge meaningFood source
Network formatUnipartite, directed
Edge typeUnweighted, no multiple edges
ReciprocalContains reciprocal edges
Directed cyclesContains directed cycles
LoopsContains loops

Statistics

Size n =183
Volume m =2,494
Loop count l =18
Wedge count s =101,959
Claw count z =1,985,127
Cross count x =32,930,228
Triangle count t =11,292
Square count q =456,289
4-Tour count T4 =4,063,016
Maximum degree dmax =108
Maximum outdegree d+max =63
Maximum indegree dmax =102
Average degree d =27.256 8
Fill p =0.074 472 2
Size of LCC N =183
Size of LSCC Ns =22
Relative size of LSCC Nrs =0.120 219
Diameter δ =4
50-Percentile effective diameter δ0.5 =1.617 02
90-Percentile effective diameter δ0.9 =2.648 70
Median distance δM =2
Mean distance δm =2.127 82
Gini coefficient G =0.426 617
Balanced inequality ratio P =0.346 030
Outdegree balanced inequality ratio P+ =0.339 214
Indegree balanced inequality ratio P =0.230 553
Relative edge distribution entropy Her =0.941 146
Power law exponent γ =1.345 61
Tail power law exponent γt =2.991 00
Tail power law exponent with p γ3 =2.991 00
p-value p =0.014 000 0
Outdegree tail power law exponent with p γ3,o =7.541 00
Outdegree p-value po =0.000 00
Indegree tail power law exponent with p γ3,i =3.241 00
Indegree p-value pi =0.023 000 0
Degree assortativity ρ =−0.266 385
Degree assortativity p-value pρ =7.214 16 × 10−80
In/outdegree correlation ρ± =+0.042 949 4
Clustering coefficient c =0.332 251
Directed clustering coefficient c± =0.472 259
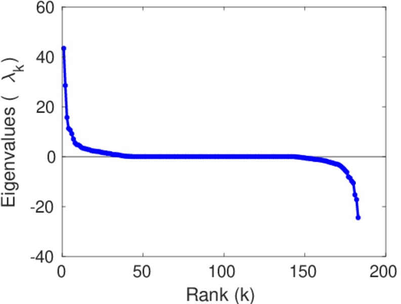
Spectral norm α =43.386 8
Operator 2-norm ν =31.170 6
Cyclic eigenvalue π =7.000 00
Algebraic connectivity a =0.979 703
Spectral separation 1[A] / λ2[A]| =1.523 55
Reciprocity y =0.040 898 2
Non-bipartivity bA =0.435 995
Normalized non-bipartivity bN =0.184 147
Algebraic non-bipartivity χ =0.974 193
Spectral bipartite frustration bK =0.009 088 36
Controllability C =99
Relative controllability Cr =0.540 984

Plots

Fruchterman–Reingold graph drawing

Degree distribution

Cumulative degree distribution

Lorenz curve

Spectral distribution of the adjacency matrix

Spectral distribution of the normalized adjacency matrix

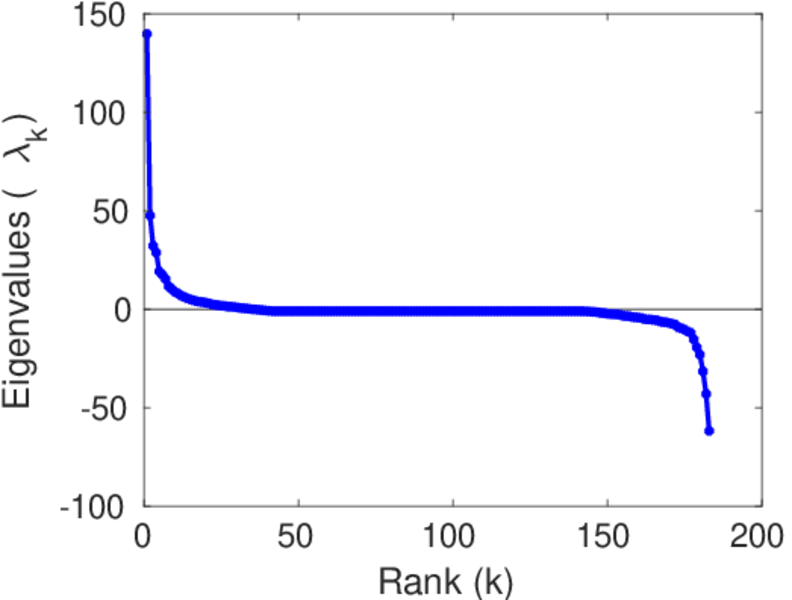
Spectral distribution of the Laplacian

Spectral graph drawing based on the adjacency matrix

Spectral graph drawing based on the Laplacian

Spectral graph drawing based on the normalized adjacency matrix

Degree assortativity

Zipf plot

Hop distribution

Double Laplacian graph drawing

Delaunay graph drawing

In/outdegree scatter plot

Clustering coefficient distribution

Average neighbor degree distribution

SynGraphy

Matrix decompositions plots

Downloads

References

[1] Jérôme Kunegis. KONECT – The Koblenz Network Collection. In Proc. Int. Conf. on World Wide Web Companion, pages 1343–1350, 2013. [ http ]
[2] Neo D. Martinez, John J. Magnuson, Timothy. Kratz, and M. Sierszen. Artifacts or attributes? effects of resolution on the Little Rock Lake food web. Ecol. Monographs, 61:367–392, 1991.