Blogs

This directed network contains front-page hyperlinks between blogs in the context of the 2004 US election. A node represents a blog and an edge represents a hyperlink between two blogs.

Metadata

CodeMg
Internal namemoreno_blogs
NameBlogs
Data sourcehttp://moreno.ss.uci.edu/data.html#blogs
AvailabilityDataset is available for download
Consistency checkDataset passed all tests
Category
Hyperlink network
Node meaningBlog
Edge meaningHyperlink
Network formatUnipartite, directed
Edge typeUnweighted, no multiple edges
ReciprocalContains reciprocal edges
Directed cyclesContains directed cycles
LoopsContains loops

Statistics

Size n =1,224
Volume m =19,025
Loop count l =3
Wedge count s =1,341,525
Claw count z =106,210,646
Cross count x =6,795,494,042
Triangle count t =101,043
Square count q =5,171,257
4-Tour count T4 =46,769,586
Maximum degree dmax =467
Maximum outdegree d+max =256
Maximum indegree dmax =337
Average degree d =31.086 6
Fill p =0.012 698 8
Size of LCC N =1,222
Size of LSCC Ns =793
Relative size of LSCC Nrs =0.647 876
Diameter δ =8
50-Percentile effective diameter δ0.5 =2.214 91
90-Percentile effective diameter δ0.9 =3.289 37
Median distance δM =3
Mean distance δm =2.722 23
Gini coefficient G =0.633 107
Balanced inequality ratio P =0.254 744
Outdegree balanced inequality ratio P+ =0.276 005
Indegree balanced inequality ratio P =0.218 870
Relative edge distribution entropy Her =0.898 242
Power law exponent γ =1.414 89
Tail power law exponent γt =2.381 00
Tail power law exponent with p γ3 =2.381 00
p-value p =0.000 00
Outdegree tail power law exponent with p γ3,o =3.121 00
Outdegree p-value po =0.000 00
Indegree tail power law exponent with p γ3,i =2.981 00
Indegree p-value pi =0.062 000 0
Degree assortativity ρ =−0.221 233
Degree assortativity p-value pρ =0.000 00
In/outdegree correlation ρ± =+0.436 307
Clustering coefficient c =0.225 959
Directed clustering coefficient c± =0.276 091
Spectral norm α =90.740 2
Operator 2-norm ν =56.192 8
Cyclic eigenvalue π =34.423 3
Algebraic connectivity a =0.170 920
Spectral separation 1[A] / λ2[A]| =1.245 67
Reciprocity y =0.242 681
Non-bipartivity bA =0.634 253
Normalized non-bipartivity bN =0.281 318
Algebraic non-bipartivity χ =0.375 440
Spectral bipartite frustration bK =0.003 430 54
Controllability C =446
Relative controllability Cr =0.364 379

Plots

Fruchterman–Reingold graph drawing

Degree distribution

Cumulative degree distribution

Lorenz curve

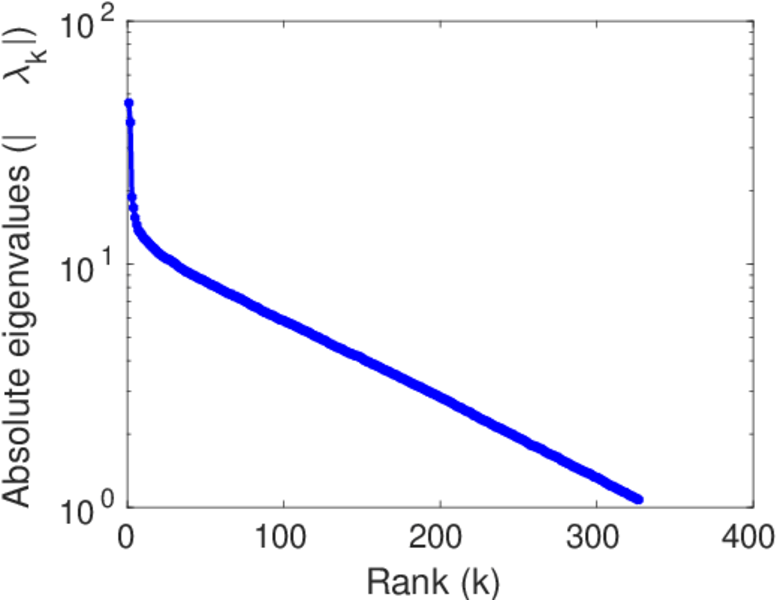
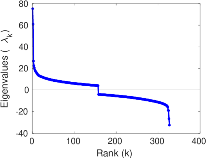
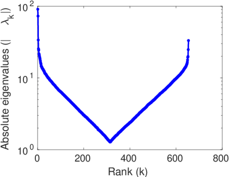
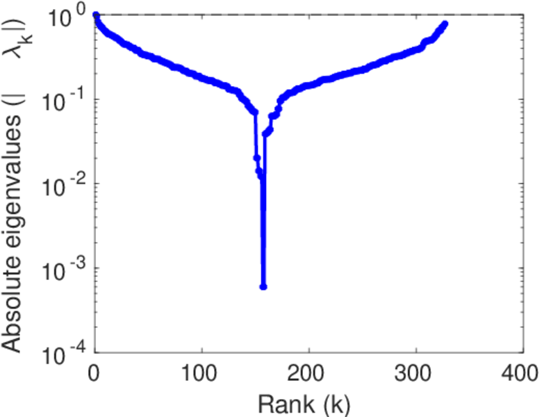
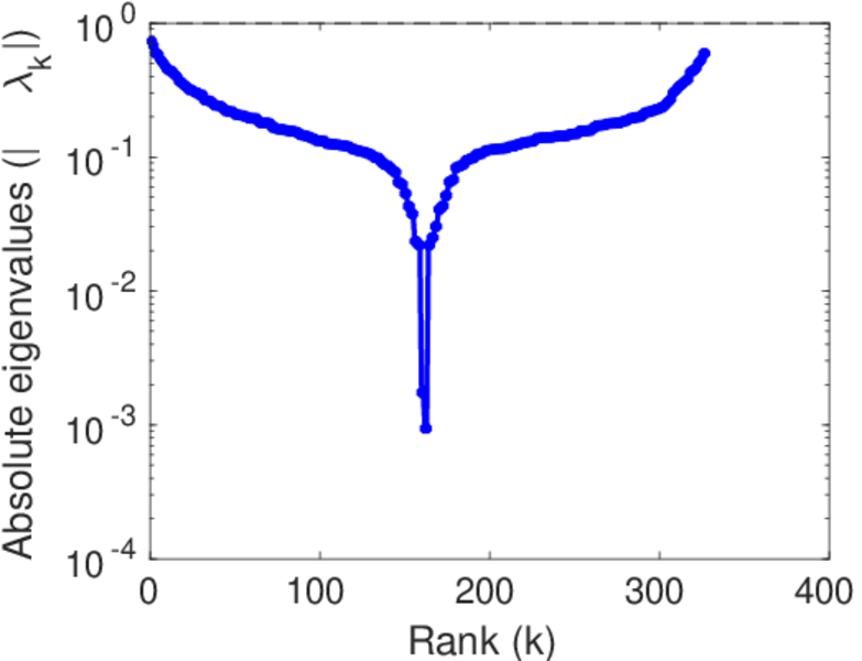
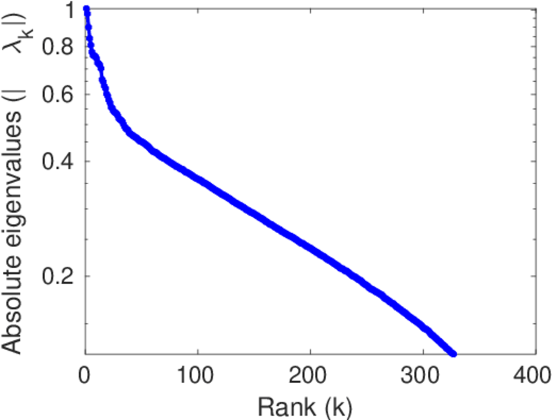
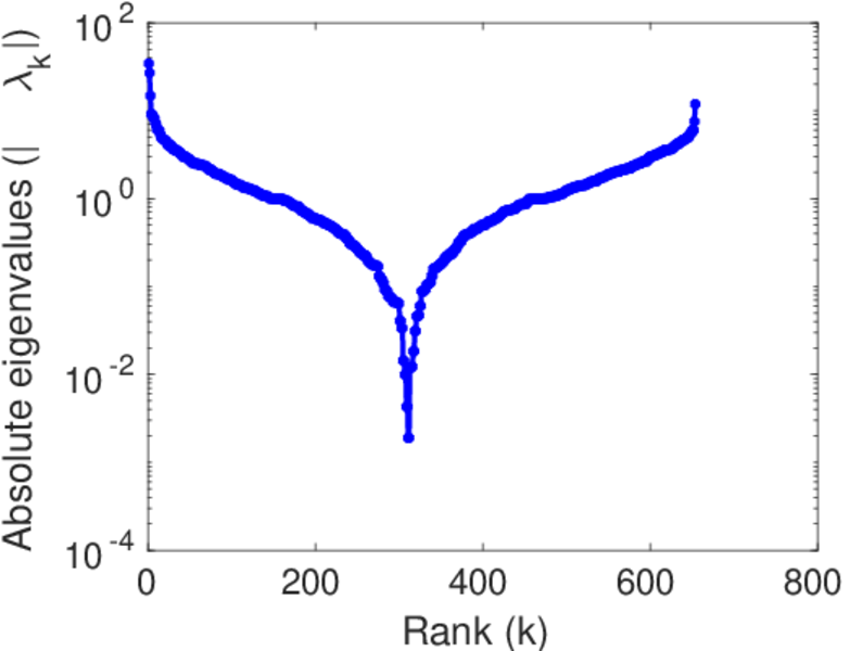
Spectral distribution of the adjacency matrix

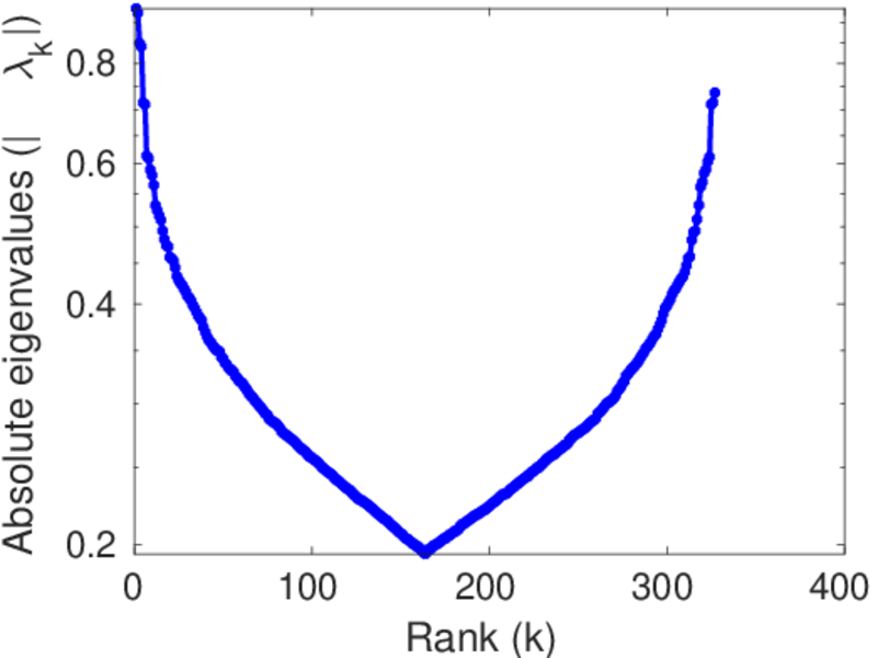
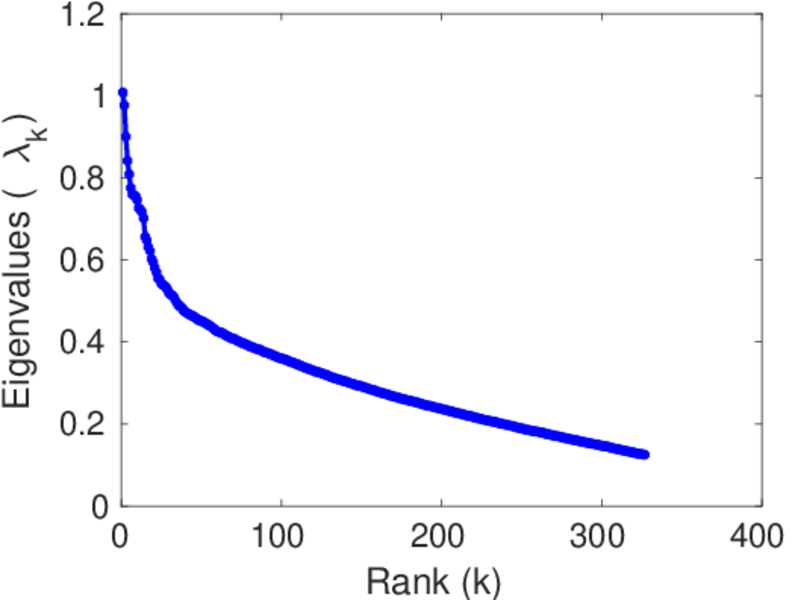
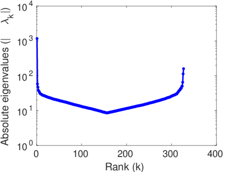
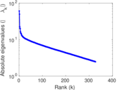
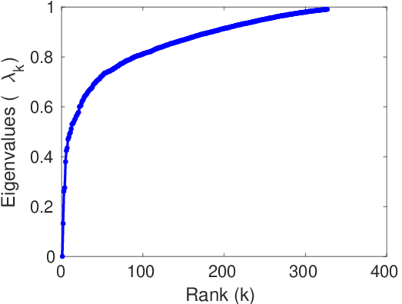
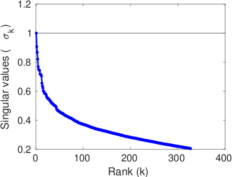
Spectral distribution of the normalized adjacency matrix

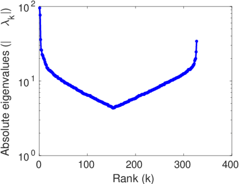
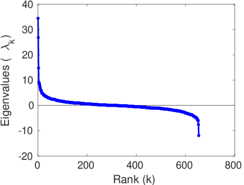
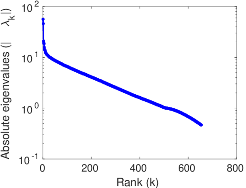
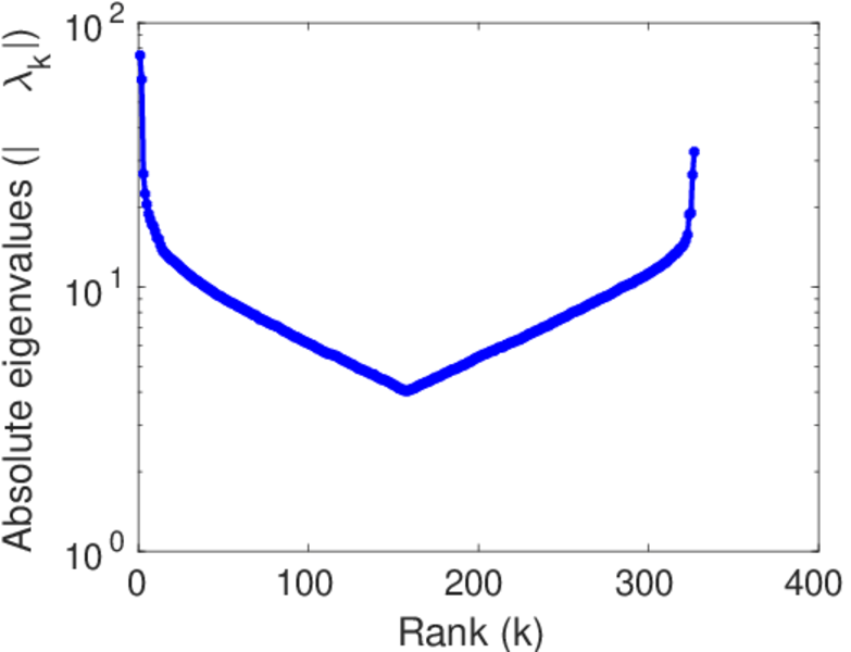
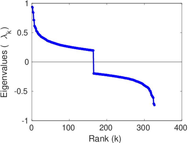
Spectral distribution of the Laplacian

Spectral graph drawing based on the adjacency matrix

Spectral graph drawing based on the Laplacian

Spectral graph drawing based on the normalized adjacency matrix

Degree assortativity

Zipf plot

Hop distribution

Double Laplacian graph drawing

Delaunay graph drawing

In/outdegree scatter plot

Clustering coefficient distribution

Average neighbor degree distribution

SynGraphy

Matrix decompositions plots

Downloads

References

[1] Jérôme Kunegis. KONECT – The Koblenz Network Collection. In Proc. Int. Conf. on World Wide Web Companion, pages 1343–1350, 2013. [ http ]
[2] Lada A. Adamic and Natalie Glance. The political blogosphere and the 2004 US election: Divided they blog. In Proc. Int. Workshop on Link Discov., pages 36–43, 2005.