Bible

This undirected network contains nouns (places and names) of the King James Version of the Bible (KJV, also known as the Authorised Version) and information about their co-occurrences. A node represents one of the above noun types and an edge indicates that two nouns appeared together in the same Bible verse. The edge multiplicity denotes how often two nouns occured together.

Metadata

CodeMN
Internal namemoreno_names
NameBible
Data sourcehttp://moreno.ss.uci.edu/data.html#names
AvailabilityDataset is available for download
Consistency checkDataset passed all tests
Category
Lexical network
Dataset timestamp 1611
Node meaningNoun
Edge meaningCo-occurence
Network formatUnipartite, undirected
Edge typeUnweighted, multiple edges
LoopsDoes not contain loops

Statistics

Size n =1,773
Volume m =16,401
Unique edge count m̿ =9,131
Loop count l =0
Wedge count s =368,148
Claw count z =17,750,527
Cross count x =1,124,672,369
Triangle count t =19,966
Square count q =321,883
4-Tour count T4 =4,065,918
Maximum degree dmax =364
Average degree d =18.500 8
Fill p =0.005 812 67
Average edge multiplicity m̃ =1.796 19
Size of LCC N =1,707
Diameter δ =8
50-Percentile effective diameter δ0.5 =2.839 84
90-Percentile effective diameter δ0.9 =3.936 54
Median distance δM =3
Mean distance δm =3.376 34
Gini coefficient G =0.688 745
Balanced inequality ratio P =0.230 169
Relative edge distribution entropy Her =0.914 733
Power law exponent γ =1.907 14
Tail power law exponent γt =2.341 00
Tail power law exponent with p γ3 =2.341 00
p-value p =0.000 00
Degree assortativity ρ =−0.048 849 7
Degree assortativity p-value pρ =3.978 12 × 10−11
Clustering coefficient c =0.162 701
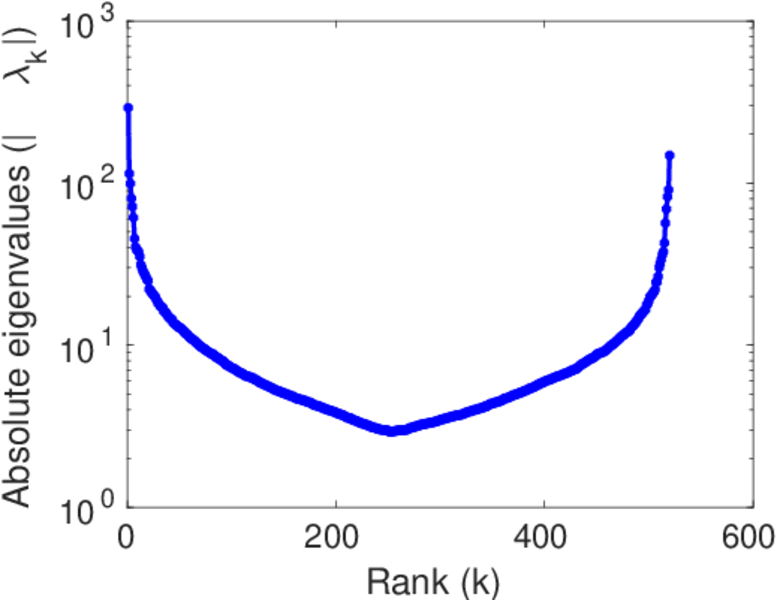
Spectral norm α =291.251
Algebraic connectivity a =0.234 757
Spectral separation 1[A] / λ2[A]| =1.968 42
Non-bipartivity bA =0.491 978
Normalized non-bipartivity bN =0.403 984
Algebraic non-bipartivity χ =0.983 261
Spectral bipartite frustration bK =0.023 159 6
Controllability C =43
Relative controllability Cr =0.024 252 7

Plots

Fruchterman–Reingold graph drawing

Degree distribution

Cumulative degree distribution

Lorenz curve

Spectral distribution of the adjacency matrix

Spectral distribution of the normalized adjacency matrix

Spectral distribution of the Laplacian

Spectral graph drawing based on the adjacency matrix

Spectral graph drawing based on the Laplacian

Spectral graph drawing based on the normalized adjacency matrix

Degree assortativity

Zipf plot

Hop distribution

Double Laplacian graph drawing

Delaunay graph drawing

Edge weight/multiplicity distribution

Clustering coefficient distribution

Average neighbor degree distribution

SynGraphy

Matrix decompositions plots

Downloads

References

[1] Jérôme Kunegis. KONECT – The Koblenz Network Collection. In Proc. Int. Conf. on World Wide Web Companion, pages 1343–1350, 2013. [ http ]
[2] http://chrisharrison.net/projects/bibleviz/index.html. Accessed: 2014-08-22.