Residence hall

This directed network contains friendship ratings between 217 residents living at a residence hall located on the Australian National University campus. A node represents a person and

Metadata

CodeMO
Internal namemoreno_oz
NameResidence hall
Data sourcehttp://moreno.ss.uci.edu/data.html#oz
AvailabilityDataset is available for download
Consistency checkDataset passed all tests
Category
Human social network
Node meaningPerson
Edge meaningFriendship
Network formatUnipartite, directed
Edge typePositive weights, no multiple edges
ReciprocalContains reciprocal edges
Directed cyclesContains directed cycles
LoopsDoes not contain loops

Statistics

Size n =217
Volume m =2,672
Loop count l =0
Wedge count s =35,859
Claw count z =848,578
Cross count x =8,287,727
Triangle count t =3,629
Square count q =35,657
4-Tour count T4 =432,370
Maximum degree dmax =80
Maximum outdegree d+max =51
Maximum indegree dmax =34
Average degree d =24.626 7
Fill p =0.057 006 3
Size of LCC N =217
Size of LSCC Ns =214
Relative size of LSCC Nrs =0.986 175
Diameter δ =4
50-Percentile effective diameter δ0.5 =1.807 59
90-Percentile effective diameter δ0.9 =2.785 73
Median distance δM =2
Mean distance δm =2.327 48
Gini coefficient G =0.244 081
Balanced inequality ratio P =0.408 121
Outdegree balanced inequality ratio P+ =0.397 081
Indegree balanced inequality ratio P =0.393 713
Relative edge distribution entropy Her =0.981 563
Power law exponent γ =1.492 83
Tail power law exponent γt =6.321 00
Tail power law exponent with p γ3 =6.321 00
p-value p =0.942 000
Outdegree tail power law exponent with p γ3,o =4.601 00
Outdegree p-value po =0.317 000
Indegree tail power law exponent with p γ3,i =8.911 00
Indegree p-value pi =0.584 000
Degree assortativity ρ =+0.095 962 5
Degree assortativity p-value pρ =5.500 55 × 10−9
In/outdegree correlation ρ± =+0.480 021
Clustering coefficient c =0.303 606
Directed clustering coefficient c± =0.302 612
Spectral norm α =107.958
Operator 2-norm ν =57.034 8
Cyclic eigenvalue π =50.874 7
Algebraic connectivity a =5.353 63
Spectral separation 1[A] / λ2[A]| =1.315 62
Reciprocity y =0.623 503
Non-bipartivity bA =0.664 996
Normalized non-bipartivity bN =0.572 754
Algebraic non-bipartivity χ =1.783 97
Spectral bipartite frustration bK =0.026 313 3
Controllability C =2
Relative controllability Cr =0.009 216 59

Plots

Fruchterman–Reingold graph drawing

Degree distribution

Cumulative degree distribution

Lorenz curve

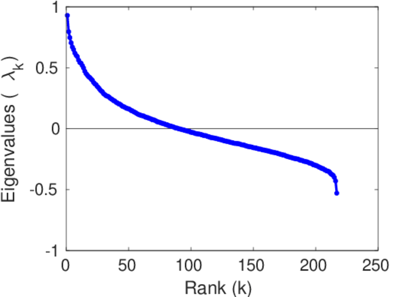
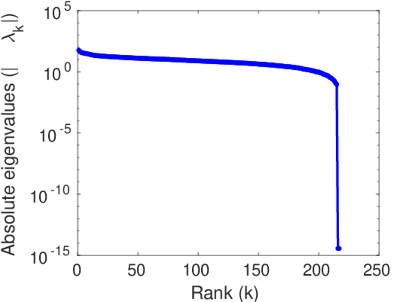
Spectral distribution of the adjacency matrix

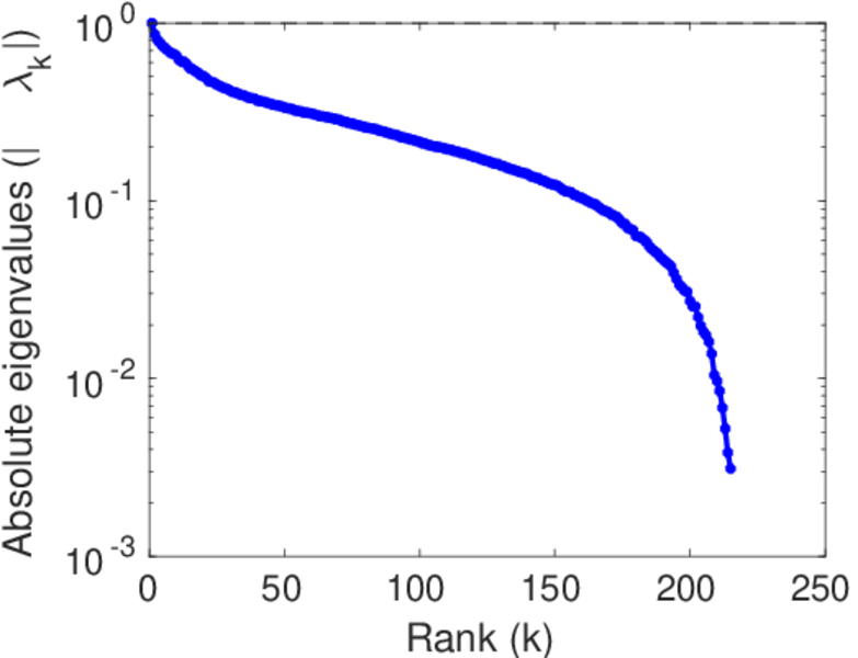
Spectral distribution of the normalized adjacency matrix

Spectral distribution of the Laplacian

Spectral graph drawing based on the adjacency matrix

Spectral graph drawing based on the Laplacian

Spectral graph drawing based on the normalized adjacency matrix

Degree assortativity

Zipf plot

Hop distribution

Double Laplacian graph drawing

Delaunay graph drawing

In/outdegree scatter plot

Edge weight/multiplicity distribution

Clustering coefficient distribution

Average neighbor degree distribution

SynGraphy

Matrix decompositions plots

Downloads

References

[1] Jérôme Kunegis. KONECT – The Koblenz Network Collection. In Proc. Int. Conf. on World Wide Web Companion, pages 1343–1350, 2013. [ http ]
[2] Linton Clarke Freeman, Cynthia Marie Webster, and Deirdre M. Kirke. Exploring social structure using dynamic three-dimensional color images. Soc. Netw., 20(2):109–118, 1998.