OpenFlights (Opsahl)

This directed network contains flights between airports of the world. A directed edge represents a flight from one airport to another. This dataset is extracted from Openflights.org data and corresponds to network 14c in the dataset list by Tore Opsahl.

Metadata

CodeOF
Internal nameopsahl-openflights
NameOpenFlights (Opsahl)
Data sourcehttp://toreopsahl.com/datasets/#usairports
AvailabilityDataset is available for download
Consistency checkDataset passed all tests
Category
Infrastructure network
Dataset timestamp 2010
Node meaningAirport
Edge meaningFlight
Network formatUnipartite, directed
Edge typeUnweighted, no multiple edges
ReciprocalContains reciprocal edges
Directed cyclesContains directed cycles
LoopsDoes not contain loops

Statistics

Size n =2,939
Volume m =30,501
Loop count l =0
Wedge count s =858,032
Claw count z =228,755,628
Cross count x =15,168,107,153
Triangle count t =72,852
Square count q =2,642,153
4-Tour count T4 =24,600,706
Maximum degree dmax =473
Maximum outdegree d+max =237
Maximum indegree dmax =236
Average degree d =20.756 0
Fill p =0.003 532 34
Size of LCC N =2,905
Size of LSCC Ns =2,868
Relative size of LSCC Nrs =0.975 842
Diameter δ =14
50-Percentile effective diameter δ0.5 =3.606 51
90-Percentile effective diameter δ0.9 =5.189 09
Median distance δM =4
Mean distance δm =4.175 91
Gini coefficient G =0.711 349
Balanced inequality ratio P =0.209 583
Outdegree balanced inequality ratio P+ =0.210 387
Indegree balanced inequality ratio P =0.210 878
Relative edge distribution entropy Her =0.868 671
Power law exponent γ =1.722 69
Tail power law exponent γt =1.741 00
Tail power law exponent with p γ3 =1.741 00
p-value p =0.000 00
Outdegree tail power law exponent with p γ3,o =1.731 00
Outdegree p-value po =0.000 00
Indegree tail power law exponent with p γ3,i =1.731 00
Indegree p-value pi =0.000 00
Degree assortativity ρ =+0.050 915 5
Degree assortativity p-value pρ =1.861 44 × 10−19
In/outdegree correlation ρ± =+0.992 291
Clustering coefficient c =0.254 718
Directed clustering coefficient c± =0.254 319
Spectral norm α =124.591
Operator 2-norm ν =62.311 7
Cyclic eigenvalue π =62.280 0
Algebraic connectivity a =0.078 388 5
Spectral separation 1[A] / λ2[A]| =1.483 18
Reciprocity y =0.972 034
Non-bipartivity bA =0.652 641
Normalized non-bipartivity bN =0.030 222 1
Algebraic non-bipartivity χ =0.052 326 2
Spectral bipartite frustration bK =0.001 214 51
Controllability C =905
Relative controllability Cr =0.307 928

Plots

Fruchterman–Reingold graph drawing

Degree distribution

Cumulative degree distribution

Lorenz curve

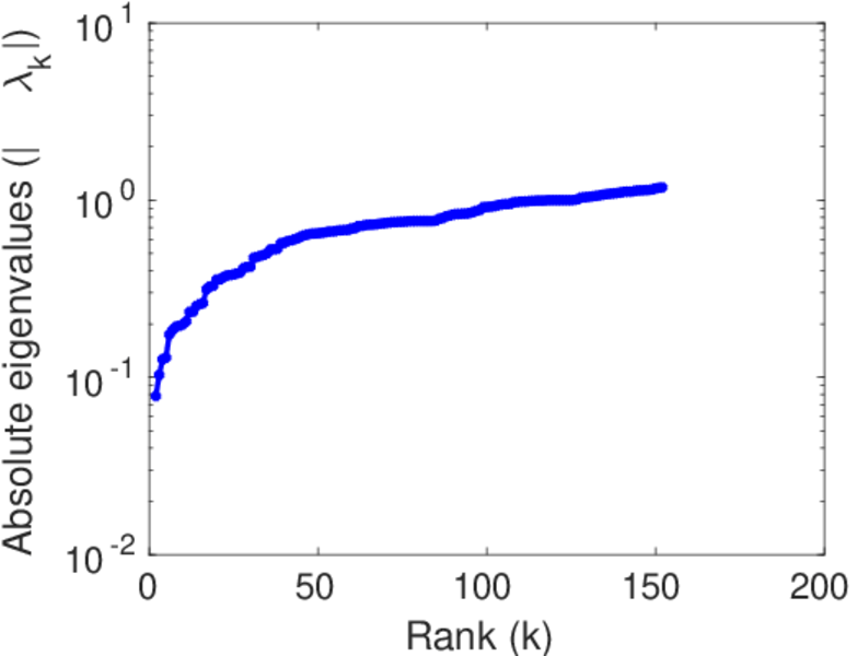
Spectral distribution of the adjacency matrix

Spectral distribution of the normalized adjacency matrix

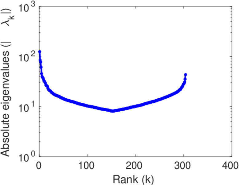
Spectral distribution of the Laplacian

Spectral graph drawing based on the adjacency matrix

Spectral graph drawing based on the Laplacian

Spectral graph drawing based on the normalized adjacency matrix

Degree assortativity

Zipf plot

Hop distribution

Double Laplacian graph drawing

Delaunay graph drawing

In/outdegree scatter plot

Clustering coefficient distribution

Average neighbor degree distribution

SynGraphy

Matrix decompositions plots

Downloads

References

[1] Jérôme Kunegis. KONECT – The Koblenz Network Collection. In Proc. Int. Conf. on World Wide Web Companion, pages 1343–1350, 2013. [ http ]
[2] Tore Opsahl, Filip Agneessens, and John Skvoretz. Node centrality in weighted networks: Generalizing degree and shortest paths. Soc. Netw., 3(32):245–251, 2010.