UC Irvine messages

This directed network contains sent messages between the users of an online community of students from the University of California, Irvine. A node represents a user. A directed edge represents a sent message. Multiple edges denote multiple messages.

Metadata

CodeUC
Internal nameopsahl-ucsocial
NameUC Irvine messages
Data sourcehttp://toreopsahl.com/datasets/#online_social_network
AvailabilityDataset is available for download
Consistency checkDataset passed all tests
Category
Communication network
Dataset timestamp 2009
Node meaningUser
Edge meaningMessage
Network formatUnipartite, directed
Edge typeUnweighted, multiple edges
Temporal data Edges are annotated with timestamps
ReciprocalContains reciprocal edges
Directed cyclesContains directed cycles
LoopsDoes not contain loops

Statistics

Size n =1,899
Volume m =59,835
Unique edge count m̿ =20,296
Loop count l =0
Wedge count s =755,882
Claw count z =82,140,043
Cross count x =4,357,774,499
Triangle count t =14,319
Square count q =729,064
4-Tour count T4 =8,883,716
Maximum degree dmax =1,546
Maximum outdegree d+max =1,091
Maximum indegree dmax =558
Average degree d =63.017 4
Fill p =0.005 631 05
Average edge multiplicity m̃ =2.948 12
Size of LCC N =1,893
Size of LSCC Ns =1,294
Relative size of LSCC Nrs =0.681 411
Diameter δ =8
50-Percentile effective diameter δ0.5 =2.557 66
90-Percentile effective diameter δ0.9 =3.657 93
Median distance δM =3
Mean distance δm =3.068 97
Gini coefficient G =0.753 661
Balanced inequality ratio P =0.201 905
Outdegree balanced inequality ratio P+ =0.219 420
Indegree balanced inequality ratio P =0.212 150
Relative edge distribution entropy Her =0.889 659
Power law exponent γ =1.562 87
Tail power law exponent γt =2.831 00
Tail power law exponent with p γ3 =2.831 00
p-value p =0.018 000 0
Outdegree tail power law exponent with p γ3,o =2.671 00
Outdegree p-value po =0.091 000 0
Indegree tail power law exponent with p γ3,i =3.821 00
Indegree p-value pi =0.396 000
Degree assortativity ρ =−0.187 776
Degree assortativity p-value pρ =4.937 81 × 10−218
In/outdegree correlation ρ± =+0.900 204
Clustering coefficient c =0.056 830 3
Directed clustering coefficient c± =0.054 659 1
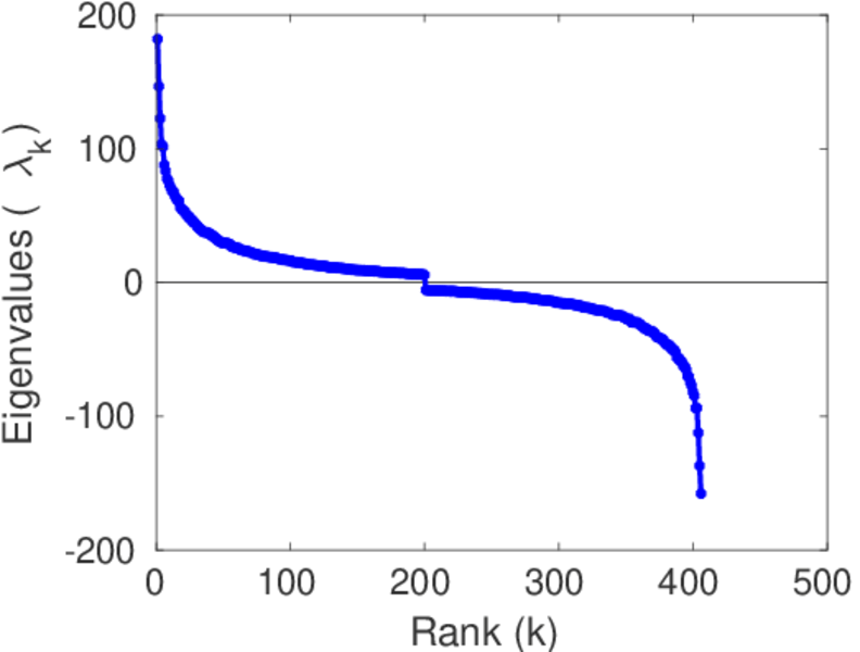
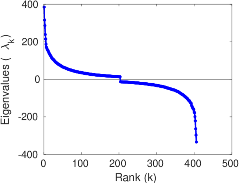
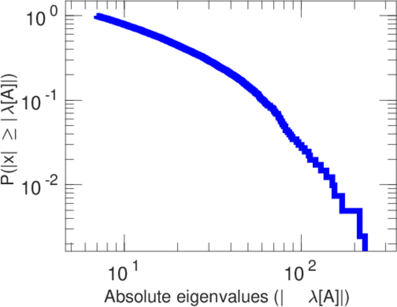
Spectral norm α =384.619
Operator 2-norm ν =229.350
Cyclic eigenvalue π =181.856
Algebraic connectivity a =0.349 550
Spectral separation 1[A] / λ2[A]| =1.149 58
Reciprocity y =0.636 382
Non-bipartivity bA =0.130 119
Normalized non-bipartivity bN =0.132 355
Algebraic non-bipartivity χ =0.196 308
Spectral bipartite frustration bK =0.003 357 53
Controllability C =634
Relative controllability Cr =0.333 860

Plots

Fruchterman–Reingold graph drawing

Degree distribution

Cumulative degree distribution

Lorenz curve

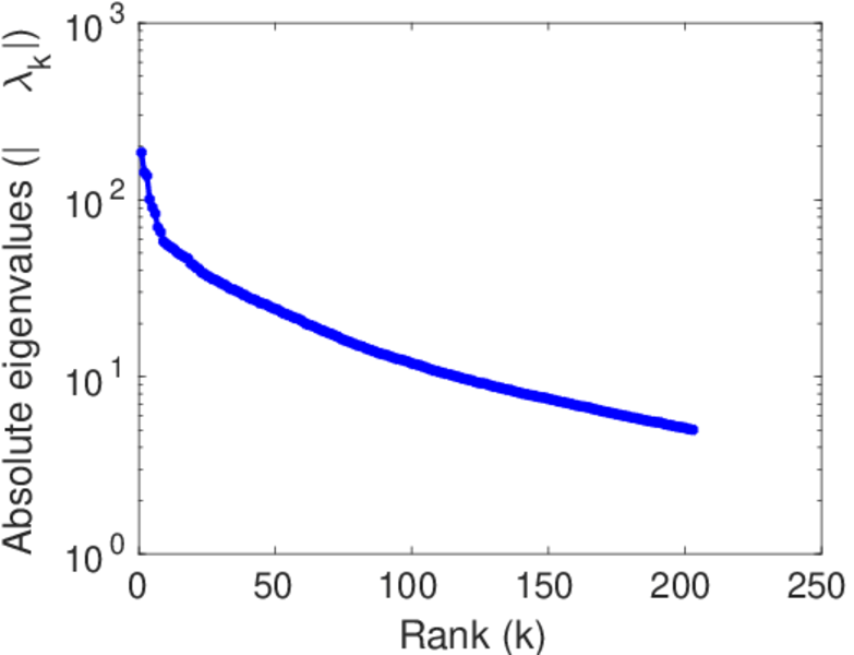
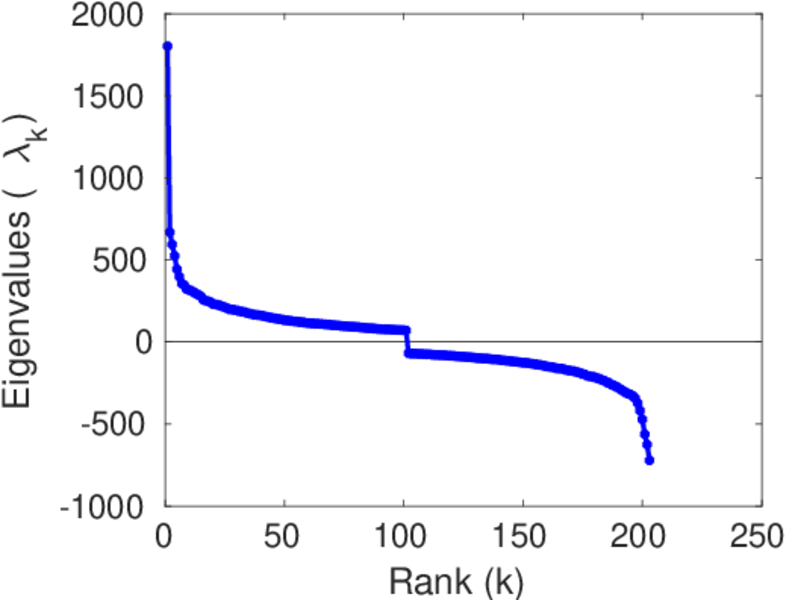
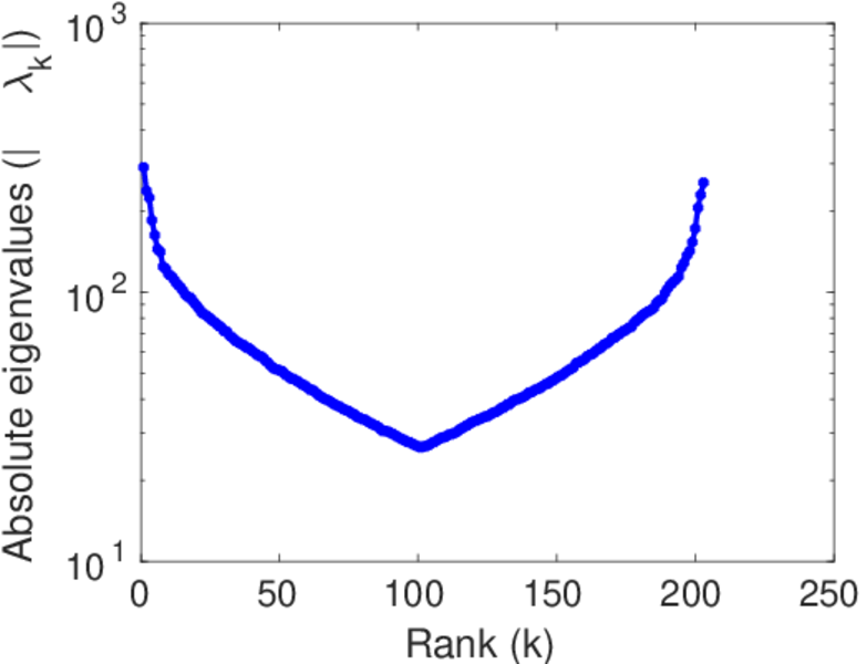
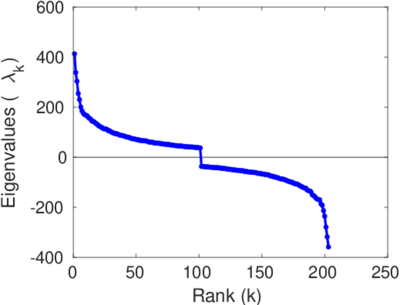
Spectral distribution of the adjacency matrix

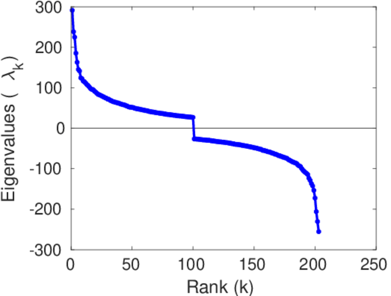
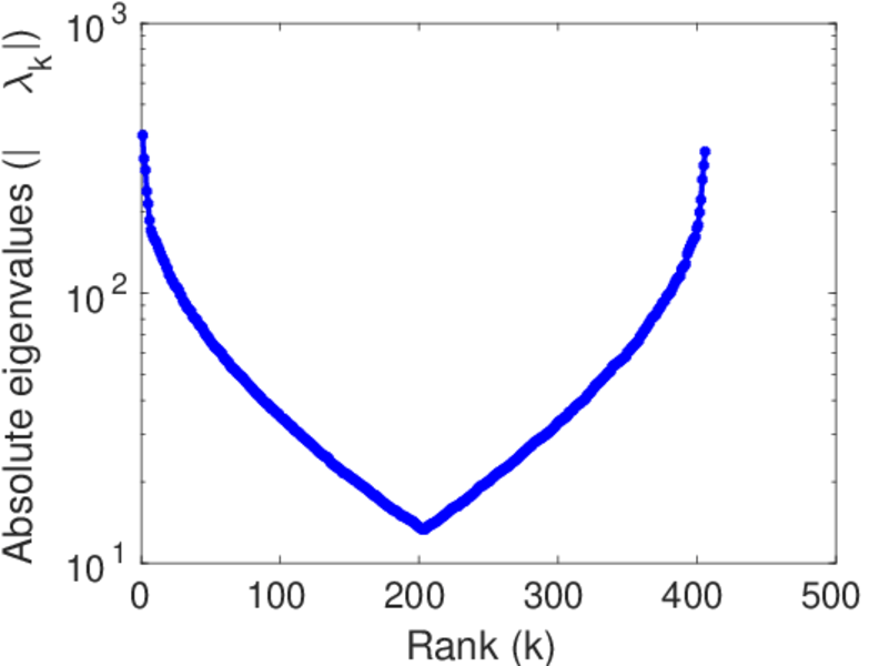
Spectral distribution of the normalized adjacency matrix

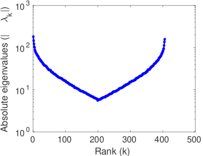
Spectral distribution of the Laplacian

Spectral graph drawing based on the adjacency matrix

Spectral graph drawing based on the Laplacian

Spectral graph drawing based on the normalized adjacency matrix

Degree assortativity

Zipf plot

Hop distribution

Double Laplacian graph drawing

Delaunay graph drawing

In/outdegree scatter plot

Edge weight/multiplicity distribution

Clustering coefficient distribution

Average neighbor degree distribution

Temporal distribution

Temporal hop distribution

Diameter/density evolution

SynGraphy

Inter-event distribution

Node-level inter-event distribution

Matrix decompositions plots

Downloads

References

[1] Jérôme Kunegis. KONECT – The Koblenz Network Collection. In Proc. Int. Conf. on World Wide Web Companion, pages 1343–1350, 2013. [ http ]
[2] Tore Opsahl and Pietro Panzarasa. Clustering in weighted networks. Soc. Netw., 31(2):155–163, 2009.