Gnutella (06)

This is a network of Gnutella hosts from 2002. The nodes represent Gnutella hosts, and the directed edges represent connections between them. The dataset is from August 06, 2002.

Metadata

CodeGN
Internal namep2p-Gnutella06
NameGnutella (06)
Data sourcehttp://snap.stanford.edu/data/p2p-Gnutella06.html
AvailabilityDataset is available for download
Consistency checkDataset passed all tests
Category
Computer network
Dataset timestamp 2002-08-06
Node meaningHost
Edge meaningConnection
Network formatUnipartite, directed
Edge typeUnweighted, no multiple edges
ReciprocalDoes not contain reciprocal edges
Directed cyclesContains directed cycles
LoopsDoes not contain loops

Statistics

Size n =8,717
Volume m =31,525
Loop count l =0
Wedge count s =422,567
Claw count z =3,435,901
Cross count x =37,997,204
Triangle count t =1,142
Square count q =90,764
4-Tour count T4 =2,479,430
Maximum degree dmax =115
Maximum outdegree d+max =113
Maximum indegree dmax =64
Average degree d =7.232 99
Fill p =0.000 414 926
Size of LCC N =8,717
Size of LSCC Ns =3,226
Relative size of LSCC Nrs =0.370 081
Diameter δ =10
50-Percentile effective diameter δ0.5 =4.239 78
90-Percentile effective diameter δ0.9 =5.502 86
Median distance δM =5
Mean distance δm =4.708 66
Gini coefficient G =0.479 743
Balanced inequality ratio P =0.319 730
Outdegree balanced inequality ratio P+ =0.447 835
Indegree balanced inequality ratio P =0.316 987
Relative edge distribution entropy Her =0.955 378
Power law exponent γ =1.673 37
Tail power law exponent γt =4.621 00
Tail power law exponent with p γ3 =4.621 00
p-value p =0.000 00
Outdegree tail power law exponent with p γ3,o =2.621 00
Outdegree p-value po =0.500 000
Indegree tail power law exponent with p γ3,i =3.311 00
Indegree p-value pi =0.018 000 0
Degree assortativity ρ =+0.051 569 4
Degree assortativity p-value pρ =2.135 94 × 10−38
In/outdegree correlation ρ± =+0.108 984
Clustering coefficient c =0.008 107 59
Directed clustering coefficient c± =0.008 110 16
Spectral norm α =22.377 9
Operator 2-norm ν =19.328 0
Cyclic eigenvalue π =4.739 55
Algebraic connectivity a =0.183 650
Spectral separation 1[A] / λ2[A]| =1.166 58
Reciprocity y =0.000 00
Non-bipartivity bA =0.172 952
Normalized non-bipartivity bN =0.120 710
Algebraic non-bipartivity χ =0.183 577
Spectral bipartite frustration bK =0.006 345 13
Controllability C =5,035
Relative controllability Cr =0.577 607

Plots

Fruchterman–Reingold graph drawing

Degree distribution

Cumulative degree distribution

Lorenz curve

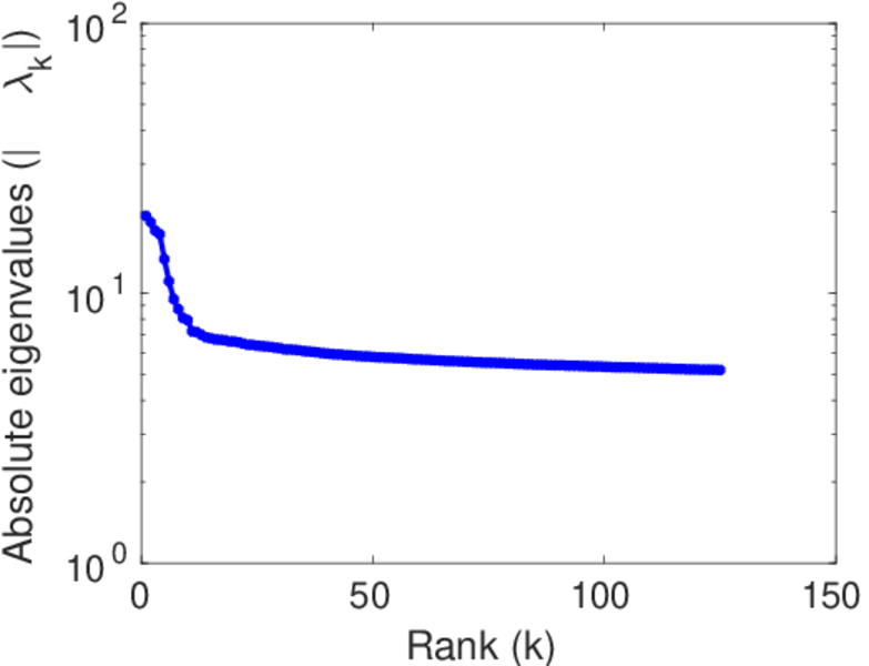
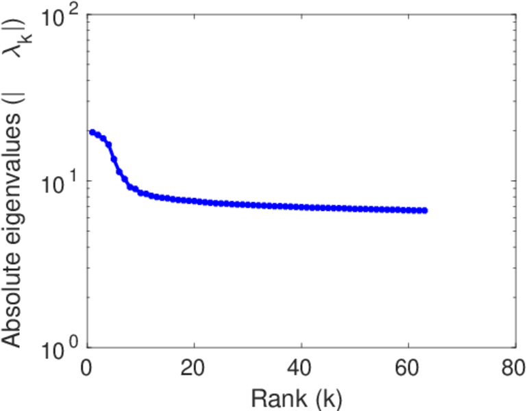
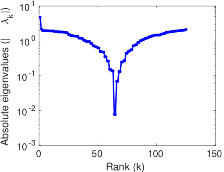
Spectral distribution of the adjacency matrix

Spectral distribution of the normalized adjacency matrix

Spectral distribution of the Laplacian

Spectral graph drawing based on the adjacency matrix

Spectral graph drawing based on the Laplacian

Spectral graph drawing based on the normalized adjacency matrix

Degree assortativity

Zipf plot

Hop distribution

Double Laplacian graph drawing

Delaunay graph drawing

In/outdegree scatter plot

Clustering coefficient distribution

Average neighbor degree distribution

SynGraphy

Matrix decompositions plots

Downloads

References

[1] Jérôme Kunegis. KONECT – The Koblenz Network Collection. In Proc. Int. Conf. on World Wide Web Companion, pages 1343–1350, 2013. [ http ]
[2] Matei Ripeanu, Ian Foster, and Adriana Iamnitchi. Mapping the Gnutella network: Properties of large-scale peer-to-peer systems and implications for system design. IEEE Internet Comput. J., 6, 2002.