Gnutella (08)

This is a network of Gnutella hosts from 2002. The nodes represent Gnutella hosts, and the directed edges represent connections between them. The dataset is from August 08, 2002.

Metadata

CodeGN
Internal namep2p-Gnutella08
NameGnutella (08)
Data sourcehttp://snap.stanford.edu/data/p2p-Gnutella08.html
AvailabilityDataset is available for download
Consistency checkDataset passed all tests
Category
Computer network
Dataset timestamp 2002-08-08
Node meaningHost
Edge meaningConnection
Network formatUnipartite, directed
Edge typeUnweighted, no multiple edges
ReciprocalDoes not contain reciprocal edges
Directed cyclesContains directed cycles
LoopsDoes not contain loops

Statistics

Size n =6,301
Volume m =20,777
Loop count l =0
Wedge count s =346,033
Claw count z =4,859,306
Cross count x =82,247,965
Triangle count t =2,383
Square count q =87,885
4-Tour count T4 =2,128,766
Maximum degree dmax =97
Maximum outdegree d+max =48
Maximum indegree dmax =91
Average degree d =6.594 83
Fill p =0.000 523 399
Size of LCC N =6,299
Size of LSCC Ns =2,068
Relative size of LSCC Nrs =0.328 202
Diameter δ =9
50-Percentile effective diameter δ0.5 =4.239 68
90-Percentile effective diameter δ0.9 =5.505 27
Median distance δM =5
Mean distance δm =4.698 13
Gini coefficient G =0.524 081
Balanced inequality ratio P =0.301 800
Outdegree balanced inequality ratio P+ =0.449 439
Indegree balanced inequality ratio P =0.312 798
Relative edge distribution entropy Her =0.940 926
Power law exponent γ =1.753 74
Tail power law exponent γt =4.741 00
Tail power law exponent with p γ3 =4.741 00
p-value p =0.000 00
Outdegree tail power law exponent with p γ3,o =3.251 00
Outdegree p-value po =0.314 000
Indegree tail power law exponent with p γ3,i =2.841 00
Indegree p-value pi =0.000 00
Degree assortativity ρ =+0.035 550 4
Degree assortativity p-value pρ =4.200 30 × 10−13
In/outdegree correlation ρ± =+0.139 852
Clustering coefficient c =0.020 659 9
Directed clustering coefficient c± =0.024 736 2
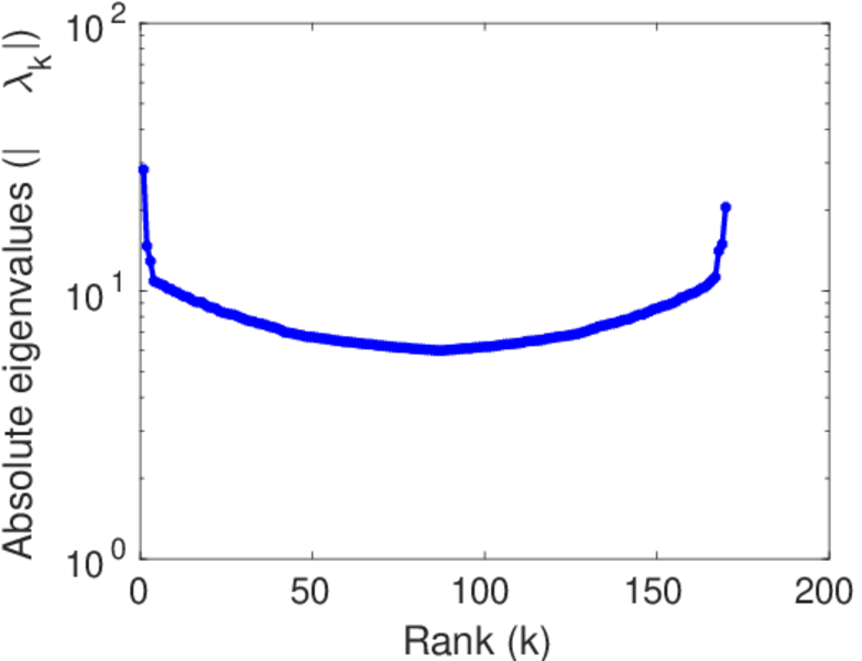
Spectral norm α =28.375 5
Operator 2-norm ν =23.950 8
Cyclic eigenvalue π =5.119 29
Algebraic connectivity a =0.073 895 5
Spectral separation 1[A] / λ2[A]| =1.382 34
Reciprocity y =0.000 00
Non-bipartivity bA =0.276 591
Normalized non-bipartivity bN =0.040 345 9
Algebraic non-bipartivity χ =0.073 763 8
Spectral bipartite frustration bK =0.002 795 52
Controllability C =4,107
Relative controllability Cr =0.651 801

Plots

Fruchterman–Reingold graph drawing

Degree distribution

Cumulative degree distribution

Lorenz curve

Spectral distribution of the adjacency matrix

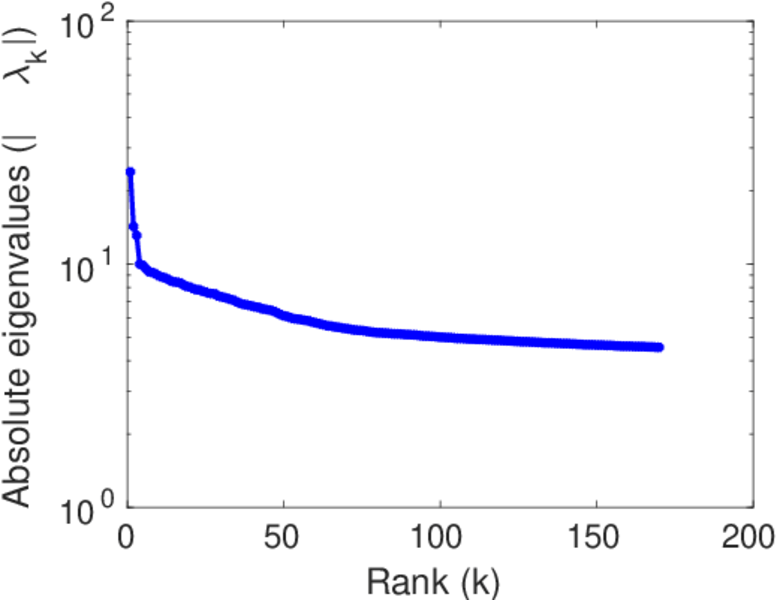
Spectral distribution of the normalized adjacency matrix

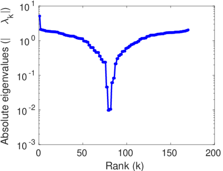
Spectral distribution of the Laplacian

Spectral graph drawing based on the adjacency matrix

Spectral graph drawing based on the Laplacian

Spectral graph drawing based on the normalized adjacency matrix

Degree assortativity

Zipf plot

Hop distribution

Double Laplacian graph drawing

Delaunay graph drawing

In/outdegree scatter plot

Clustering coefficient distribution

Average neighbor degree distribution

SynGraphy

Matrix decompositions plots

Downloads

References

[1] Jérôme Kunegis. KONECT – The Koblenz Network Collection. In Proc. Int. Conf. on World Wide Web Companion, pages 1343–1350, 2013. [ http ]
[2] Matei Ripeanu, Ian Foster, and Adriana Iamnitchi. Mapping the Gnutella network: Properties of large-scale peer-to-peer systems and implications for system design. IEEE Internet Comput. J., 6, 2002.