Gnutella (31)

This is a network of Gnutella hosts from 2002. The nodes represent Gnutella hosts, and the directed edges represent connections between them. The dataset is from August 31, 2002.

Metadata

CodeGN
Internal namep2p-Gnutella31
NameGnutella (31)
Data sourcehttp://snap.stanford.edu/data/p2p-Gnutella31.html
AvailabilityDataset is available for download
Consistency checkDataset passed all tests
Category
Computer network
Dataset timestamp 2002-08-31
Node meaningHost
Edge meaningConnection
Network formatUnipartite, directed
Edge typeUnweighted, no multiple edges
ReciprocalDoes not contain reciprocal edges
Directed cyclesContains directed cycles
LoopsDoes not contain loops

Statistics

Size n =62,586
Volume m =147,892
Loop count l =0
Wedge count s =1,568,174
Claw count z =8,171,989
Cross count x =43,841,182
Triangle count t =2,024
Square count q =42,466
4-Tour count T4 =6,908,208
Maximum degree dmax =95
Maximum outdegree d+max =78
Maximum indegree dmax =68
Average degree d =4.726 04
Fill p =3.775 70 × 10−5
Size of LCC N =62,561
Size of LSCC Ns =14,149
Relative size of LSCC Nrs =0.226 073
Diameter δ =11
50-Percentile effective diameter δ0.5 =5.479 36
90-Percentile effective diameter δ0.9 =6.751 31
Median distance δM =6
Mean distance δm =5.956 53
Gini coefficient G =0.562 578
Balanced inequality ratio P =0.263 936
Outdegree balanced inequality ratio P+ =0.455 637
Indegree balanced inequality ratio P =0.330 897
Relative edge distribution entropy Her =0.948 442
Power law exponent γ =2.062 94
Tail power law exponent γt =4.831 00
Tail power law exponent with p γ3 =4.831 00
p-value p =0.000 00
Outdegree tail power law exponent with p γ3,o =6.051 00
Outdegree p-value po =0.713 000
Indegree tail power law exponent with p γ3,i =5.561 00
Indegree p-value pi =0.210 000
Degree assortativity ρ =−0.092 557 8
Degree assortativity p-value pρ =0.000 00
In/outdegree correlation ρ± =+0.288 763
Clustering coefficient c =0.003 872 02
Directed clustering coefficient c± =0.003 653 97
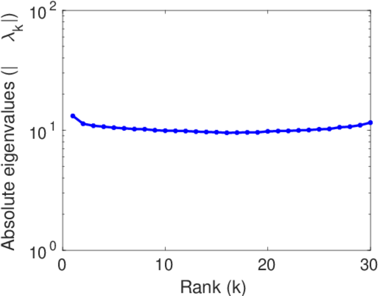
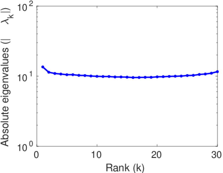
Spectral norm α =13.181 2
Operator 2-norm ν =10.896 2
Cyclic eigenvalue π =3.659 28
Algebraic connectivity a =0.113 127
Spectral separation 1[A] / λ2[A]| =1.137 32
Reciprocity y =0.000 00
Non-bipartivity bA =0.120 738
Normalized non-bipartivity bN =0.059 887 0
Algebraic non-bipartivity χ =0.113 103
Spectral bipartite frustration bK =0.005 981 14
Controllability C =46,227
Relative controllability Cr =0.738 616

Plots

Fruchterman–Reingold graph drawing

Degree distribution

Cumulative degree distribution

Lorenz curve

Spectral distribution of the adjacency matrix

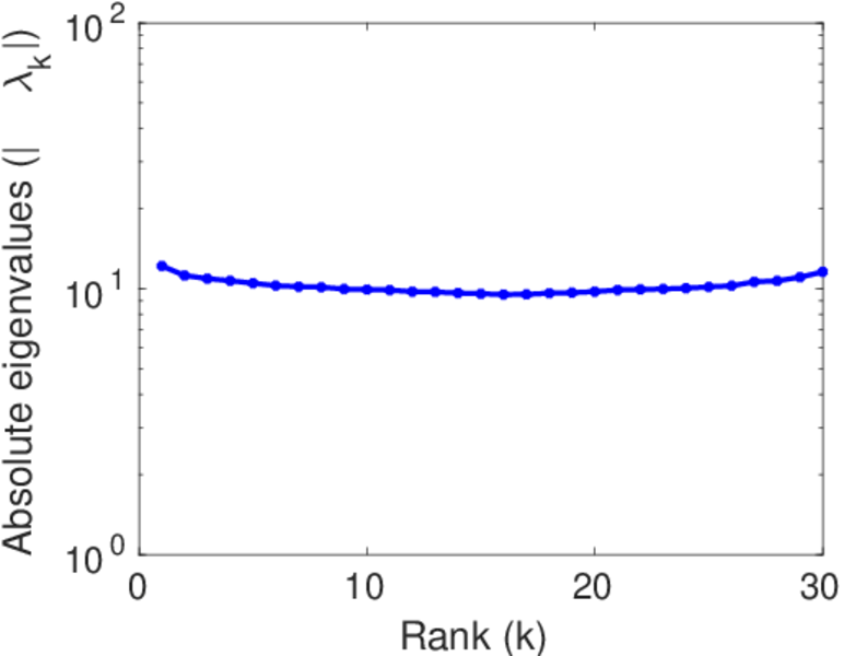
Spectral distribution of the normalized adjacency matrix

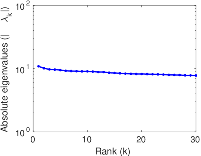
Spectral distribution of the Laplacian

Spectral graph drawing based on the adjacency matrix

Spectral graph drawing based on the Laplacian

Spectral graph drawing based on the normalized adjacency matrix

Degree assortativity

Zipf plot

Hop distribution

Double Laplacian graph drawing

Delaunay graph drawing

In/outdegree scatter plot

Clustering coefficient distribution

Average neighbor degree distribution

SynGraphy

Matrix decompositions plots

Downloads

References

[1] Jérôme Kunegis. KONECT – The Koblenz Network Collection. In Proc. Int. Conf. on World Wide Web Companion, pages 1343–1350, 2013. [ http ]
[2] Matei Ripeanu, Ian Foster, and Adriana Iamnitchi. Mapping the Gnutella network: Properties of large-scale peer-to-peer systems and implications for system design. IEEE Internet Comput. J., 6, 2002.