Hamsterster friendships

This Network contains friendships between users of the website hamsterster.com.

Metadata

CodeShf
Internal namepetster-friendships-hamster
NameHamsterster friendships
AvailabilityDataset is available for download
Consistency checkDataset passed all tests
Category
Online social network
Node meaningUser
Edge meaningFriendship
Network formatUnipartite, undirected
Edge typeUnweighted, no multiple edges
LoopsDoes not contain loops

Statistics

Size n =1,858
Volume m =12,534
Loop count l =0
Wedge count s =555,842
Claw count z =17,140,733
Cross count x =611,850,068
Triangle count t =16,750
Square count q =780,549
4-Tour count T4 =8,492,828
Maximum degree dmax =272
Average degree d =13.491 9
Fill p =0.007 265 44
Size of LCC N =1,788
Diameter δ =14
50-Percentile effective diameter δ0.5 =2.804 48
90-Percentile effective diameter δ0.9 =3.969 87
Median distance δM =3
Mean distance δm =3.394 24
Gini coefficient G =0.610 625
Balanced inequality ratio P =0.269 507
Relative edge distribution entropy Her =0.907 612
Power law exponent γ =1.538 24
Tail power law exponent γt =2.461 00
Tail power law exponent with p γ3 =2.461 00
p-value p =0.000 00
Degree assortativity ρ =−0.084 659 1
Degree assortativity p-value pρ =4.177 26 × 10−41
Clustering coefficient c =0.090 403 4
Spectral norm α =46.162 3
Algebraic connectivity a =0.032 310 7
Spectral separation 1[A] / λ2[A]| =1.880 58
Non-bipartivity bA =0.478 324
Normalized non-bipartivity bN =0.017 586 7
Algebraic non-bipartivity χ =0.032 135 6
Spectral bipartite frustration bK =0.000 575 690
Controllability C =430
Relative controllability Cr =0.231 432

Plots

Fruchterman–Reingold graph drawing

Degree distribution

Cumulative degree distribution

Lorenz curve

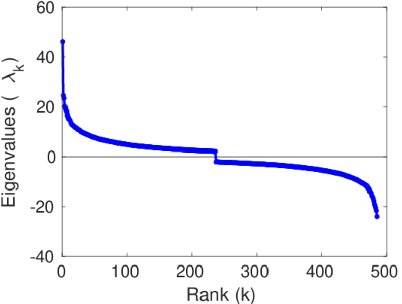
Spectral distribution of the adjacency matrix

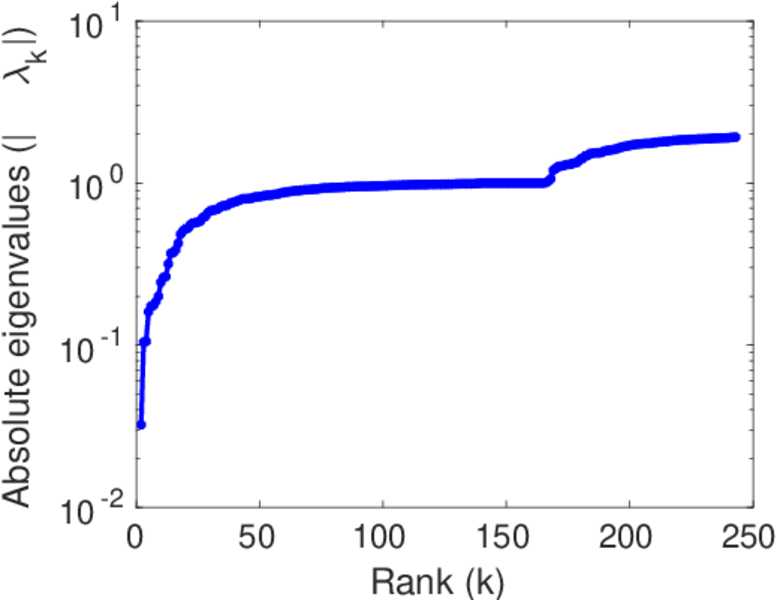
Spectral distribution of the normalized adjacency matrix

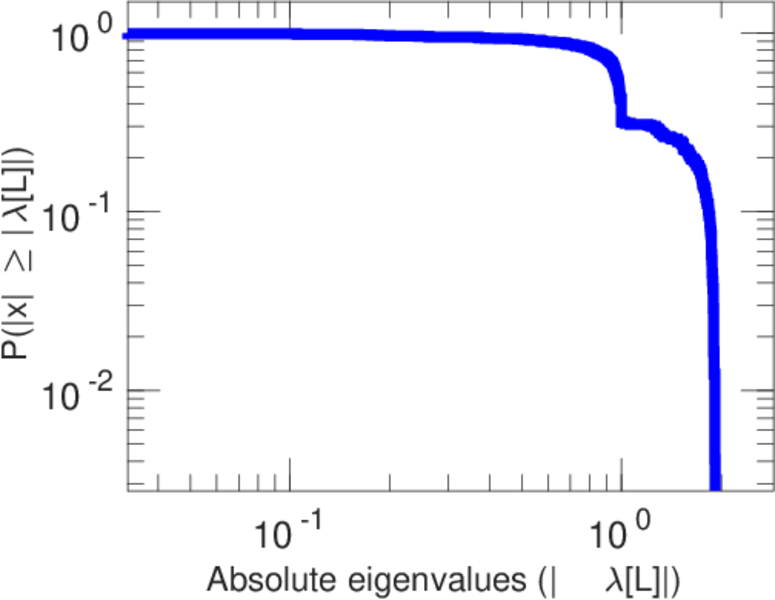
Spectral distribution of the Laplacian

Spectral graph drawing based on the adjacency matrix

Spectral graph drawing based on the Laplacian

Spectral graph drawing based on the normalized adjacency matrix

Degree assortativity

Zipf plot

Hop distribution

Double Laplacian graph drawing

Delaunay graph drawing

Clustering coefficient distribution

Average neighbor degree distribution

SynGraphy

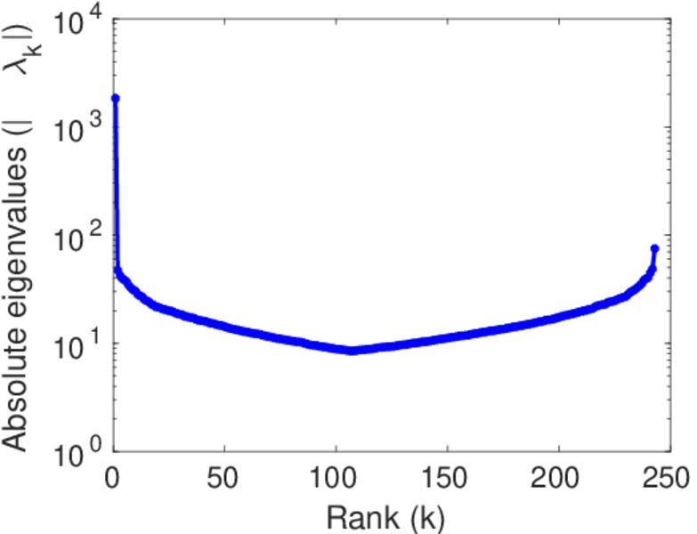
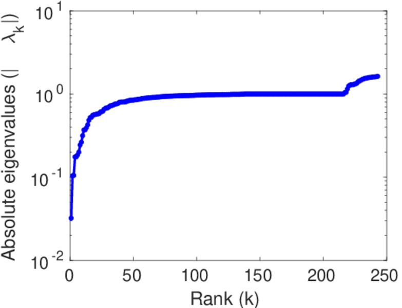
Matrix decompositions plots

Downloads

References

[1] Jérôme Kunegis. KONECT – The Koblenz Network Collection. In Proc. Int. Conf. on World Wide Web Companion, pages 1343–1350, 2013. [ http ]