Hamsterster households

Metadata

CodePHh
Internal namepetster-hamster-household
NameHamsterster households
AvailabilityDataset is available for download
Consistency checkDataset passed all tests
Category
Online social network
Network formatUnipartite, undirected
Edge typeUnweighted, no multiple edges
LoopsDoes not contain loops

Statistics

Size n =1,576
Volume m =4,032
Loop count l =0
Wedge count s =132,815
Claw count z =3,056,139
Cross count x =72,660,046
Triangle count t =5,811
Square count q =113,083
4-Tour count T4 =1,443,988
Maximum degree dmax =147
Average degree d =5.116 75
Fill p =0.009 517 07
Size of LCC N =874
Diameter δ =8
50-Percentile effective diameter δ0.5 =2.610 53
90-Percentile effective diameter δ0.9 =3.885 03
Median distance δM =3
Mean distance δm =3.174 29
Gini coefficient G =0.630 196
Balanced inequality ratio P =0.257 812
Relative edge distribution entropy Her =0.887 146
Power law exponent γ =1.707 77
Tail power law exponent γt =2.141 00
Tail power law exponent with p γ3 =2.141 00
p-value p =0.002 000 00
Degree assortativity ρ =−0.120 689
Degree assortativity p-value pρ =1.500 97 × 10−27
Clustering coefficient c =0.131 258
Spectral norm α =31.972 7
Algebraic connectivity a =0.213 281
Spectral separation 1[A] / λ2[A]| =2.066 50
Non-bipartivity bA =0.565 705
Normalized non-bipartivity bN =0.119 673
Algebraic non-bipartivity χ =0.212 564
Spectral bipartite frustration bK =0.005 801 31
Controllability C =215
Relative controllability Cr =0.233 442

Plots

Fruchterman–Reingold graph drawing

Degree distribution

Cumulative degree distribution

Lorenz curve

Spectral distribution of the adjacency matrix

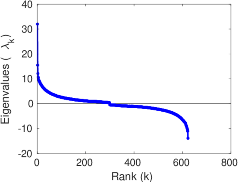
Spectral distribution of the normalized adjacency matrix

Spectral distribution of the Laplacian

Spectral graph drawing based on the adjacency matrix

Spectral graph drawing based on the Laplacian

Spectral graph drawing based on the normalized adjacency matrix

Degree assortativity

Zipf plot

Hop distribution

Double Laplacian graph drawing

Delaunay graph drawing

Clustering coefficient distribution

Average neighbor degree distribution

SynGraphy

Matrix decompositions plots

Downloads

References

[1] Jérôme Kunegis. KONECT – The Koblenz Network Collection. In Proc. Int. Conf. on World Wide Web Companion, pages 1343–1350, 2013. [ http ]