Hamsterster full

This Network contains friendships and familylinks between users of the website hamsterster.com.

Metadata

CodeSh
Internal namepetster-hamster
NameHamsterster full
AvailabilityDataset is available for download
Consistency checkDataset passed all tests
Category
Online social network
Node meaningUser
Edge meaningFriendship
Network formatUnipartite, undirected
Edge typeUnweighted, no multiple edges
LoopsDoes not contain loops

Statistics

Size n =2,426
Volume m =16,631
Loop count l =0
Wedge count s =690,463
Claw count z =19,926,742
Cross count x =676,944,899
Triangle count t =53,265
Square count q =1,234,177
4-Tour count T4 =12,668,530
Maximum degree dmax =273
Average degree d =13.710 6
Fill p =0.005 653 87
Size of LCC N =2,000
Diameter δ =10
50-Percentile effective diameter δ0.5 =3.013 27
90-Percentile effective diameter δ0.9 =4.797 16
Median distance δM =4
Mean distance δm =3.668 46
Gini coefficient G =0.589 364
Balanced inequality ratio P =0.276 291
Relative edge distribution entropy Her =0.917 954
Power law exponent γ =1.518 29
Tail power law exponent γt =2.421 00
Tail power law exponent with p γ3 =2.421 00
p-value p =0.000 00
Degree assortativity ρ =+0.047 403 9
Degree assortativity p-value pρ =5.149 83 × 10−18
Clustering coefficient c =0.231 432
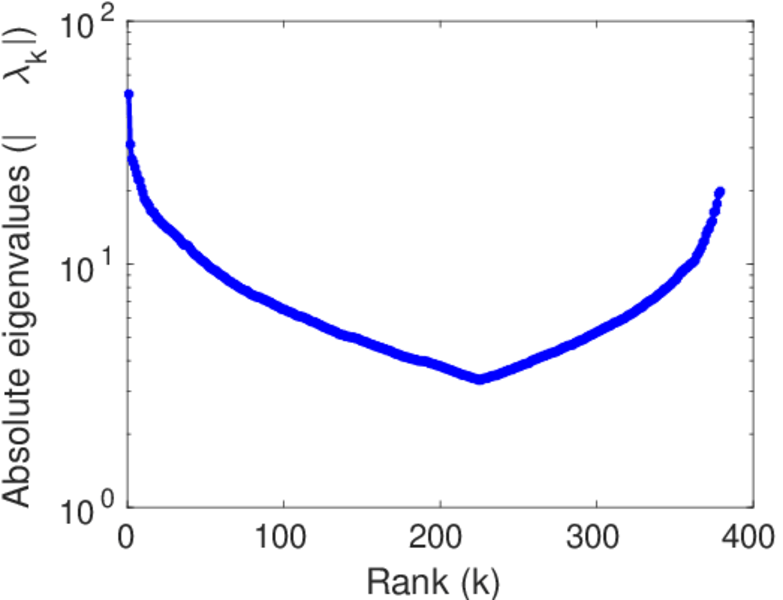
Spectral norm α =50.021 5
Algebraic connectivity a =0.102 938
Spectral separation 1[A] / λ2[A]| =1.608 94
Non-bipartivity bA =0.602 303
Normalized non-bipartivity bN =0.129 659
Algebraic non-bipartivity χ =0.193 235
Spectral bipartite frustration bK =0.003 000 91
Controllability C =63
Relative controllability Cr =0.025 968 7

Plots

Fruchterman–Reingold graph drawing

Degree distribution

Cumulative degree distribution

Lorenz curve

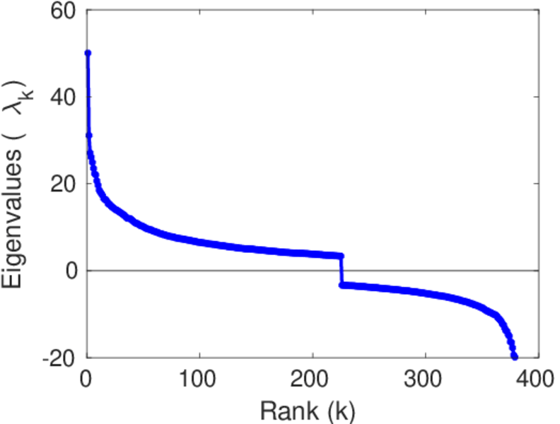
Spectral distribution of the adjacency matrix

Spectral distribution of the normalized adjacency matrix

Spectral distribution of the Laplacian

Spectral graph drawing based on the adjacency matrix

Spectral graph drawing based on the Laplacian

Spectral graph drawing based on the normalized adjacency matrix

Degree assortativity

Zipf plot

Hop distribution

Double Laplacian graph drawing

Delaunay graph drawing

Clustering coefficient distribution

Average neighbor degree distribution

SynGraphy

Matrix decompositions plots

Downloads

References

[1] Jérôme Kunegis. KONECT – The Koblenz Network Collection. In Proc. Int. Conf. on World Wide Web Companion, pages 1343–1350, 2013. [ http ]