Manufacturing emails

This is the internal email communication network between employees of a mid-sized manufacturing company. The network is directed and nodes represent employees. The left node represents the sender and the right node represents the recipient. Edges between two nodes are individual emails.

Metadata

CodeRA
Internal nameradoslaw_email
NameManufacturing emails
Data sourcehttp://www.ii.pwr.wroc.pl/~michalski/index.php?content=datasets#manufacturing
AvailabilityDataset is available for download
Consistency checkDataset passed all tests
Category
Communication network
Dataset timestamp 2010-01-01 ⋯ 2010-09-30
Node meaningEmployee
Edge meaningEmail
Network formatUnipartite, directed
Edge typeUnweighted, multiple edges
Temporal data Edges are annotated with timestamps
ReciprocalContains reciprocal edges
Directed cyclesContains directed cycles
LoopsContains loops

Statistics

Size n =167
Volume m =82,927
Unique edge count m̿ =5,784
Loop count l =51
Wedge count s =206,233
Claw count z =31,304,118
Cross count x =1,296,647,327
Triangle count t =37,209
Square count q =1,622,683
4-Tour count T4 =13,812,896
Maximum degree dmax =9,053
Maximum outdegree d+max =4,607
Maximum indegree dmax =4,446
Average degree d =993.138
Fill p =0.207 394
Average edge multiplicity m̃ =14.337 3
Size of LCC N =167
Size of LSCC Ns =126
Relative size of LSCC Nrs =0.754 491
Diameter δ =5
50-Percentile effective diameter δ0.5 =1.395 03
90-Percentile effective diameter δ0.9 =2.246 15
Median distance δM =2
Mean distance δm =1.871 18
Gini coefficient G =0.619 320
Balanced inequality ratio P =0.267 754
Outdegree balanced inequality ratio P+ =0.272 589
Indegree balanced inequality ratio P =0.303 689
Relative edge distribution entropy Her =0.925 588
Power law exponent γ =1.332 56
Tail power law exponent γt =4.201 00
Tail power law exponent with p γ3 =4.201 00
p-value p =0.136 000
Outdegree tail power law exponent with p γ3,o =3.641 00
Outdegree p-value po =0.162 000
Indegree tail power law exponent with p γ3,i =4.951 00
Indegree p-value pi =0.431 000
Degree assortativity ρ =−0.295 177
Degree assortativity p-value pρ =7.833 28 × 10−131
In/outdegree correlation ρ± =+0.852 125
Clustering coefficient c =0.541 266
Directed clustering coefficient c± =0.538 752
Spectral norm α =3,581.16
Operator 2-norm ν =1,819.32
Cyclic eigenvalue π =1,772.47
Algebraic connectivity a =0.904 879
Spectral separation 1[A] / λ2[A]| =1.122 82
Reciprocity y =0.876 037
Non-bipartivity bA =0.109 389
Normalized non-bipartivity bN =0.286 679
Algebraic non-bipartivity χ =0.377 080
Spectral bipartite frustration bK =0.002 421 27
Controllability C =28
Relative controllability Cr =0.167 665

Plots

Fruchterman–Reingold graph drawing

Degree distribution

Cumulative degree distribution

Lorenz curve

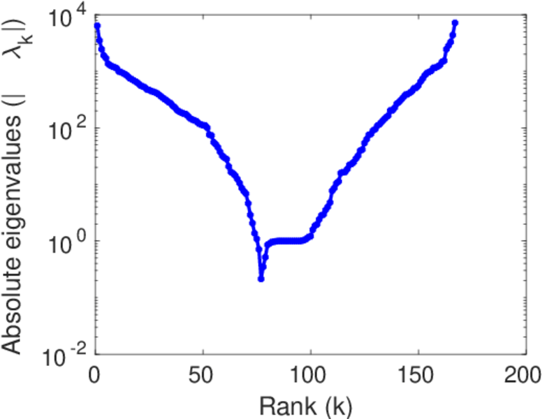
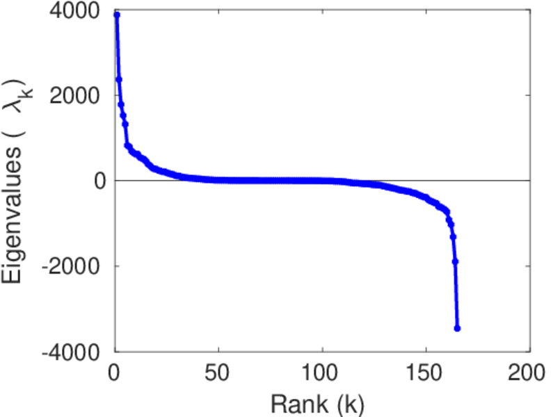
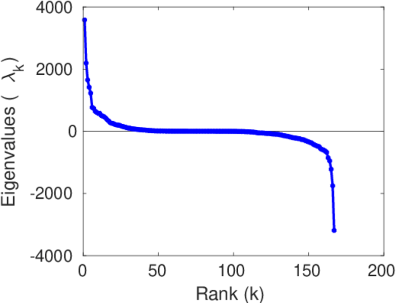
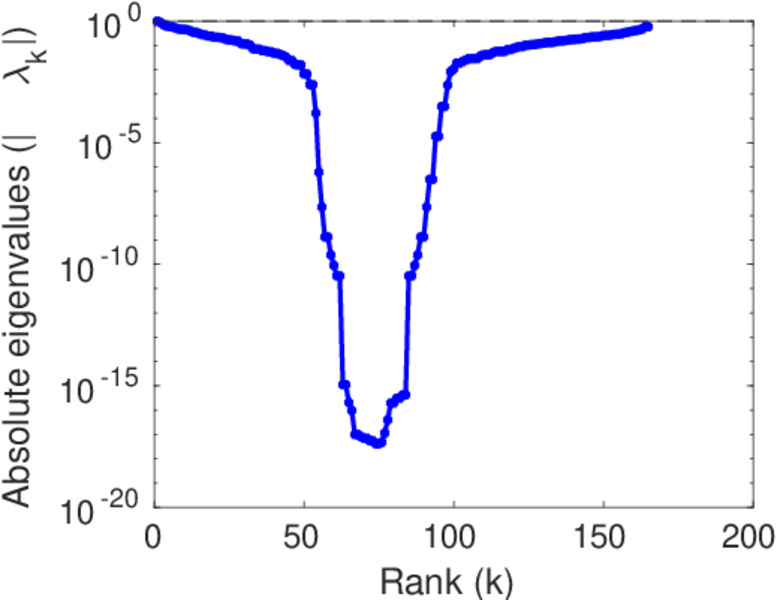
Spectral distribution of the adjacency matrix

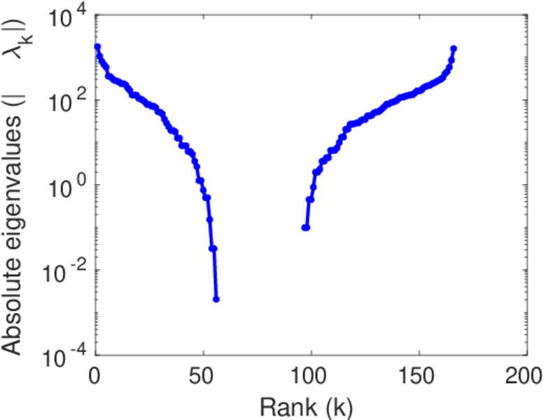
Spectral distribution of the normalized adjacency matrix

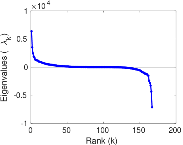
Spectral distribution of the Laplacian

Spectral graph drawing based on the adjacency matrix

Spectral graph drawing based on the Laplacian

Spectral graph drawing based on the normalized adjacency matrix

Degree assortativity

Zipf plot

Hop distribution

Double Laplacian graph drawing

Delaunay graph drawing

In/outdegree scatter plot

Edge weight/multiplicity distribution

Clustering coefficient distribution

Average neighbor degree distribution

Temporal distribution

Temporal hop distribution

Diameter/density evolution

SynGraphy

Inter-event distribution

Node-level inter-event distribution

Matrix decompositions plots

Downloads

References

[1] Jérôme Kunegis. KONECT – The Koblenz Network Collection. In Proc. Int. Conf. on World Wide Web Companion, pages 1343–1350, 2013. [ http ]
[2] Radoslaw Michalski, Sebastian Palus, and Przemyslaw Kazienko. Matching organizational structure and social network extracted from email communication. In Proc. Int. Conf. on Bus. Inf. Syst., pages 197–206, 2011.