Bitcoin OTC

This is a user–user trust/distrust network, from the Bitcoin OTC platform, on which Bitcoins are traded. Each directed edge represents trust or distrust on a scale from −10 to +10. Positive edge weights denote trust, and negative edge weights denote distrust. An edge weight of zero does not appear.

Metadata

CodeBO
Internal namesoc-sign-bitcoinotc
NameBitcoin OTC
Data sourcehttp://cs.umd.edu/~srijan/wsn/, https://snap.stanford.edu/data/soc-sign-bitcoinotc.html
AvailabilityDataset is available for download
Consistency checkDataset passed all tests
Category
Online social network
Dataset timestamp 2010 ⋯ 2016
Node meaningMember
Edge meaningTrust/distrust
Network formatUnipartite, directed
Edge typeSigned, possibly weighted, no multiple edges
Temporal data Edges are annotated with timestamps
ReciprocalContains reciprocal edges
Directed cyclesContains directed cycles
LoopsDoes not contain loops

Statistics

Size n =5,881
Volume m =35,592
Loop count l =0
Wedge count s =1,696,179
Claw count z =811,596,829
Cross count x =175,418,444,313
Triangle count t =33,493
Square count q =1,043,996
4-Tour count T4 =15,179,668
Maximum degree dmax =1,298
Maximum outdegree d+max =763
Maximum indegree dmax =535
Average degree d =12.104 1
Fill p =0.001 029 26
Size of LCC N =5,875
Size of LSCC Ns =4,709
Relative size of LSCC Nrs =0.800 714
Diameter δ =9
50-Percentile effective diameter δ0.5 =3.037 71
90-Percentile effective diameter δ0.9 =3.996 62
Median distance δM =4
Mean distance δm =3.558 34
Gini coefficient G =0.715 474
Balanced inequality ratio P =0.217 956
Outdegree balanced inequality ratio P+ =0.220 190
Indegree balanced inequality ratio P =0.227 748
Relative edge distribution entropy Her =0.856 811
Power law exponent γ =1.968 88
Tail power law exponent γt =2.051 00
Tail power law exponent with p γ3 =2.051 00
p-value p =0.000 00
Outdegree tail power law exponent with p γ3,o =2.061 00
Outdegree p-value po =0.000 00
Indegree tail power law exponent with p γ3,i =2.271 00
Indegree p-value pi =0.002 000 00
Degree assortativity ρ =−0.164 834
Degree assortativity p-value pρ =1.857 77 × 10−259
In/outdegree correlation ρ± =+0.890 664
Clustering coefficient c =0.059 238 4
Directed clustering coefficient c± =0.055 367 2
Spectral norm α =292.694
Operator 2-norm ν =205.822
Cyclic eigenvalue π =118.316
Algebraic connectivity a =0.253 255
Spectral separation 1[A] / λ2[A]| =1.180 45
Reciprocity y =0.792 313
Non-bipartivity bA =0.481 386
Normalized non-bipartivity bN =0.039 855 0
Algebraic non-bipartivity χ =0.072 874 3
Spectral bipartite frustration bK =0.002 490 44
Negativity ζ =0.100 107
Algebraic conflict ξ =0.140 294
Triadic conflict τ =0.127 519
Spectral signed frustration φ =0.004 875 71
Controllability C =3,120
Relative controllability Cr =0.530 522

Plots

Fruchterman–Reingold graph drawing

Degree distribution

Cumulative degree distribution

Lorenz curve

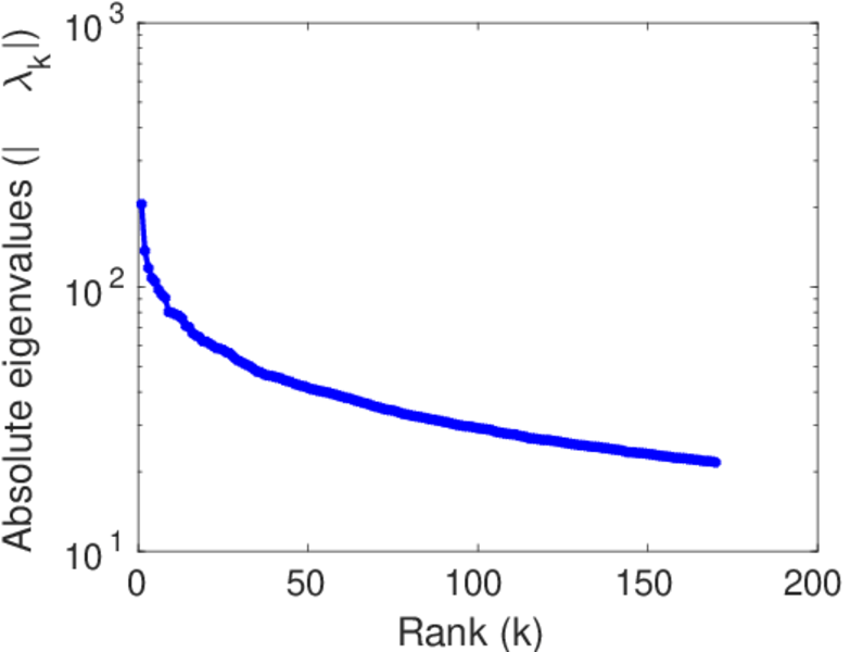
Spectral distribution of the adjacency matrix

Spectral distribution of the normalized adjacency matrix

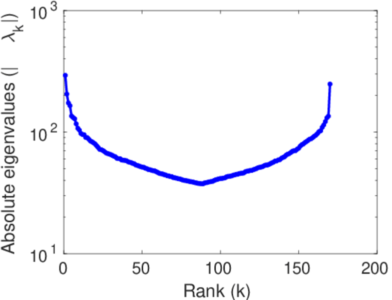
Spectral distribution of the Laplacian

Spectral graph drawing based on the adjacency matrix

Spectral graph drawing based on the Laplacian

Spectral graph drawing based on the normalized adjacency matrix

Degree assortativity

Zipf plot

Hop distribution

Double Laplacian graph drawing

Delaunay graph drawing

In/outdegree scatter plot

Item rating evolution

Edge weight/multiplicity distribution

Clustering coefficient distribution

Average neighbor degree distribution

Temporal distribution

Temporal hop distribution

Diameter/density evolution

Signed temporal distribution

Rating class evolution

SynGraphy

Matrix decompositions plots

Downloads

References

[1] Jérôme Kunegis. KONECT – The Koblenz Network Collection. In Proc. Int. Conf. on World Wide Web Companion, pages 1343–1350, 2013. [ http ]
[2] Srijan Kumar, Francesca Spezzano, V. S. Subrahmanian, and Christos Faloutsos. Edge weight prediction in weighted signed networks. In Proc. Int. Conf. Data Min., pages 221–230, 2016.