Wikipedia talk (cy)

This is the communication network of the Welsh Wikipedia. Nodes represent users, and an edge from user A to user B denotes that user A wrote a message on the talk page of user B at a certain timestamp.

Metadata

CodeTcy
Internal namewiki_talk_cy
NameWikipedia talk (cy)
Data sourcehttps://zenodo.org/record/49561
AvailabilityDataset is available for download
Consistency checkDataset passed all tests
Category
Communication network
Dataset timestamp 2017-10-27
Node meaningUser
Edge meaningMessage
Network formatUnipartite, directed
Edge typeUnweighted, multiple edges
Temporal data Edges are annotated with timestamps
ReciprocalContains reciprocal edges
Directed cyclesContains directed cycles
LoopsContains loops

Statistics

Size n =2,233
Volume m =10,740
Unique edge count m̿ =4,475
Loop count l =2,605
Wedge count s =772,894
Claw count z =211,757,981
Cross count x =44,162,305,687
Triangle count t =2,312
Square count q =147,394
4-Tour count T4 =4,277,948
Maximum degree dmax =2,663
Maximum outdegree d+max =1,519
Maximum indegree dmax =1,144
Average degree d =9.619 35
Fill p =0.000 897 461
Average edge multiplicity m̃ =2.400 00
Size of LCC N =2,062
Size of LSCC Ns =249
Relative size of LSCC Nrs =0.111 509
Diameter δ =9
50-Percentile effective diameter δ0.5 =2.334 22
90-Percentile effective diameter δ0.9 =2.949 30
Median distance δM =3
Mean distance δm =2.794 82
Gini coefficient G =0.821 236
Balanced inequality ratio P =0.163 175
Outdegree balanced inequality ratio P+ =0.126 816
Indegree balanced inequality ratio P =0.226 164
Relative edge distribution entropy Her =0.771 327
Power law exponent γ =3.080 64
Tail power law exponent γt =2.731 00
Tail power law exponent with p γ3 =2.731 00
p-value p =0.000 00
Outdegree tail power law exponent with p γ3,o =2.141 00
Outdegree p-value po =0.041 000 0
Indegree tail power law exponent with p γ3,i =3.031 00
Indegree p-value pi =0.000 00
Degree assortativity ρ =−0.456 825
Degree assortativity p-value pρ =0.000 00
In/outdegree correlation ρ± =+0.611 678
Clustering coefficient c =0.008 974 06
Directed clustering coefficient c± =0.029 888 5
Spectral norm α =1,034.97
Operator 2-norm ν =527.246
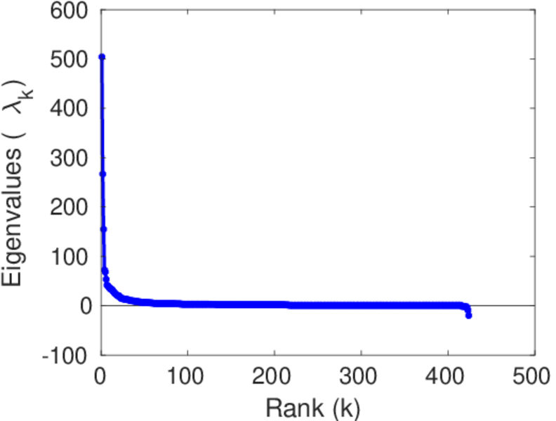
Cyclic eigenvalue π =504.058
Algebraic connectivity a =0.069 279 6
Spectral separation 1[A] / λ2[A]| =1.921 85
Reciprocity y =0.269 497
Non-bipartivity bA =0.945 995
Normalized non-bipartivity bN =0.039 743 4
Algebraic non-bipartivity χ =0.068 781 7
Spectral bipartite frustration bK =0.004 467 86
Controllability C =1,632
Relative controllability Cr =0.730 855

Plots

Fruchterman–Reingold graph drawing

Degree distribution

Cumulative degree distribution

Lorenz curve

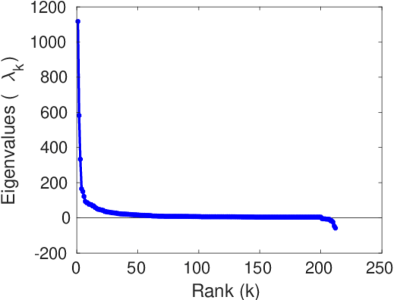
Spectral distribution of the adjacency matrix

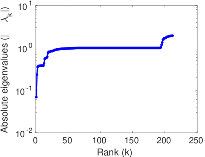
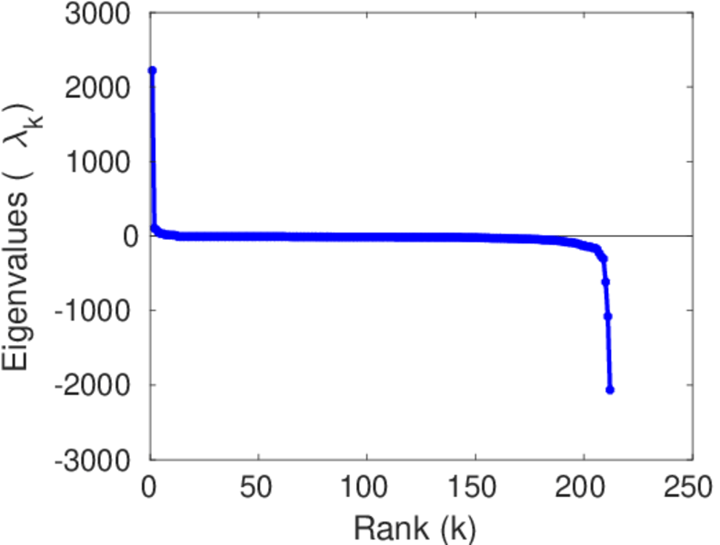
Spectral distribution of the normalized adjacency matrix

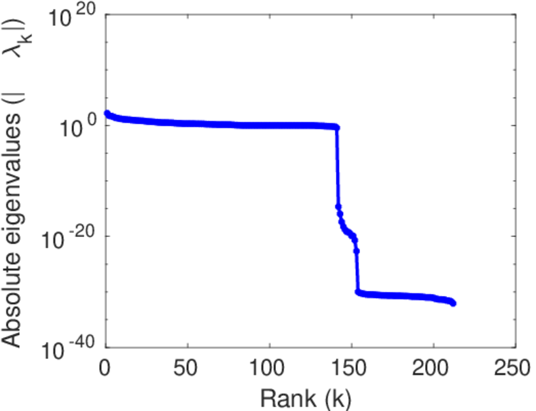
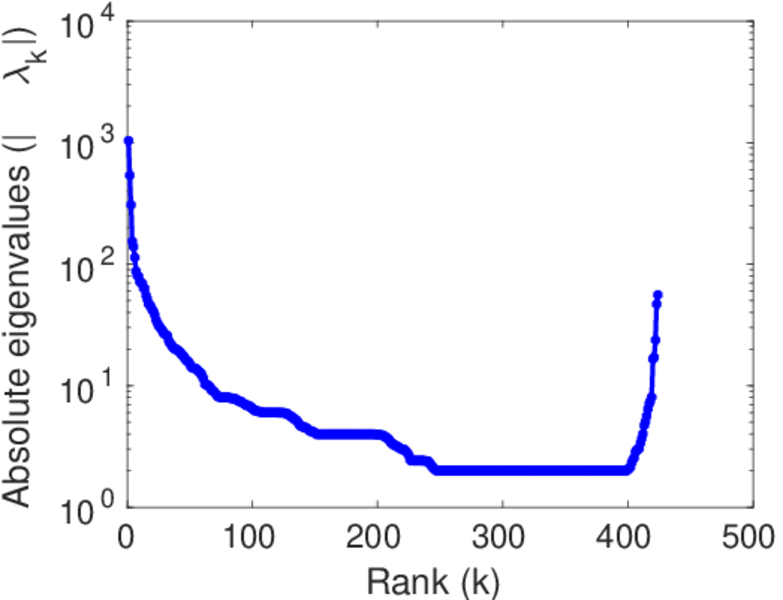
Spectral distribution of the Laplacian

Spectral graph drawing based on the adjacency matrix

Spectral graph drawing based on the Laplacian

Spectral graph drawing based on the normalized adjacency matrix

Degree assortativity

Zipf plot

Hop distribution

Double Laplacian graph drawing

Delaunay graph drawing

In/outdegree scatter plot

Edge weight/multiplicity distribution

Clustering coefficient distribution

Average neighbor degree distribution

Temporal distribution

Temporal hop distribution

Diameter/density evolution

SynGraphy

Matrix decompositions plots

Downloads

References

[1] Jérôme Kunegis. KONECT – The Koblenz Network Collection. In Proc. Int. Conf. on World Wide Web Companion, pages 1343–1350, 2013. [ http ]
[2] Jun Sun, Jérôme Kunegis, and Steffen Staab. Predicting user roles in social networks using transfer learning with feature transformation. In Proc. ICDM Workshop on Data Min. in Netw., 2016.