Wikipedia links (dv)

This network consists of the wikilinks of the Wikipedia in the Divehi language (dv). Nodes are Wikipedia articles, and directed edges are wikilinks, i.e., hyperlinks within one wiki. In the wiki source, these are indicated with [[double brackets]]. Only pages in the article namespace are included.

Metadata

CodeWdv
Internal namewikipedia_link_dv
NameWikipedia links (dv)
Data sourcehttp://dumps.wikimedia.org/
AvailabilityDataset is available for download
Consistency checkDataset passed all tests
Category
Hyperlink network
Node meaningArticle
Edge meaningWikilink
Network formatUnipartite, directed
Edge typeUnweighted, no multiple edges
ReciprocalContains reciprocal edges
Directed cyclesContains directed cycles
LoopsDoes not contain loops

Statistics

Size n =4,266
Volume m =206,809
Loop count l =0
Wedge count s =35,416,618
Claw count z =29,656,810,404
Cross count x =5,370,889,832,394
Triangle count t =11,119,387
Square count q =2,895,788,451
4-Tour count T4 =23,308,204,832
Maximum degree dmax =1,104
Maximum outdegree d+max =1,092
Maximum indegree dmax =1,102
Average degree d =96.956 9
Fill p =0.011 366 6
Size of LCC N =4,127
Size of LSCC Ns =1,413
Relative size of LSCC Nrs =0.331 224
Diameter δ =13
50-Percentile effective diameter δ0.5 =3.405 39
90-Percentile effective diameter δ0.9 =5.038 09
Median distance δM =4
Mean distance δm =3.932 81
Gini coefficient G =0.839 834
Balanced inequality ratio P =0.128 404
Outdegree balanced inequality ratio P+ =0.135 154
Indegree balanced inequality ratio P =0.140 603
Relative edge distribution entropy Her =0.805 691
Power law exponent γ =1.510 70
Tail power law exponent γt =1.501 00
Degree assortativity ρ =+0.394 832
Degree assortativity p-value pρ =0.000 00
In/outdegree correlation ρ± =+0.830 536
Clustering coefficient c =0.941 879
Directed clustering coefficient c± =0.993 623
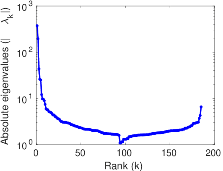
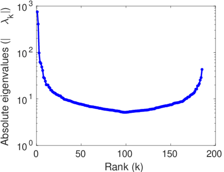
Spectral norm α =748.850
Operator 2-norm ν =375.702
Cyclic eigenvalue π =373.145
Algebraic connectivity a =0.014 562 3
Spectral separation 1[A] / λ2[A]| =1.832 43
Reciprocity y =0.884 227
Non-bipartivity bA =0.942 372
Normalized non-bipartivity bN =0.020 031 2
Algebraic non-bipartivity χ =0.050 217 1
Spectral bipartite frustration bK =0.000 224 687
Controllability C =1,944
Relative controllability Cr =0.455 696

Plots

Fruchterman–Reingold graph drawing

Degree distribution

Cumulative degree distribution

Lorenz curve

Spectral distribution of the adjacency matrix

Spectral distribution of the normalized adjacency matrix

Spectral distribution of the Laplacian

Spectral graph drawing based on the adjacency matrix

Spectral graph drawing based on the Laplacian

Spectral graph drawing based on the normalized adjacency matrix

Degree assortativity

Zipf plot

Hop distribution

Double Laplacian graph drawing

Delaunay graph drawing

In/outdegree scatter plot

Clustering coefficient distribution

Average neighbor degree distribution

SynGraphy

Matrix decompositions plots

Downloads

References

[1] Jérôme Kunegis. KONECT – The Koblenz Network Collection. In Proc. Int. Conf. on World Wide Web Companion, pages 1343–1350, 2013. [ http ]