Wikipedia links (lo)

This network consists of the wikilinks of the Wikipedia in the Lao language (lo). Nodes are Wikipedia articles, and directed edges are wikilinks, i.e., hyperlinks within one wiki. In the wiki source, these are indicated with [[double brackets]]. Only pages in the article namespace are included.

Metadata

CodeWlo
Internal namewikipedia_link_lo
NameWikipedia links (lo)
Data sourcehttp://dumps.wikimedia.org/
AvailabilityDataset is available for download
Consistency checkDataset passed all tests
Category
Hyperlink network
Node meaningArticle
Edge meaningWikilink
Network formatUnipartite, directed
Edge typeUnweighted, no multiple edges
ReciprocalContains reciprocal edges
Directed cyclesContains directed cycles
LoopsDoes not contain loops

Statistics

Size n =3,811
Volume m =132,837
Loop count l =0
Wedge count s =26,391,544
Claw count z =16,996,315,139
Cross count x =2,863,963,805,119
Triangle count t =8,294,090
Square count q =2,268,418,929
4-Tour count T4 =18,253,083,666
Maximum degree dmax =692
Maximum outdegree d+max =378
Maximum indegree dmax =500
Average degree d =69.712 4
Fill p =0.009 148 61
Size of LCC N =3,733
Size of LSCC Ns =1,622
Relative size of LSCC Nrs =0.425 610
Diameter δ =9
50-Percentile effective diameter δ0.5 =3.417 61
90-Percentile effective diameter δ0.9 =4.904 16
Median distance δM =4
Mean distance δm =3.958 49
Gini coefficient G =0.865 289
Balanced inequality ratio P =0.103 781
Outdegree balanced inequality ratio P+ =0.102 351
Indegree balanced inequality ratio P =0.133 780
Relative edge distribution entropy Her =0.776 991
Power law exponent γ =1.604 77
Tail power law exponent γt =1.461 00
Tail power law exponent with p γ3 =1.461 00
p-value p =0.000 00
Outdegree tail power law exponent with p γ3,o =1.531 00
Outdegree p-value po =0.000 00
Indegree tail power law exponent with p γ3,i =1.461 00
Indegree p-value pi =0.000 00
Degree assortativity ρ =+0.844 846
Degree assortativity p-value pρ =0.000 00
In/outdegree correlation ρ± =+0.760 232
Clustering coefficient c =0.942 812
Directed clustering coefficient c± =0.986 716
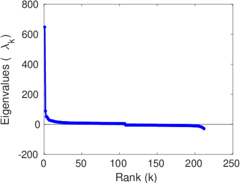
Spectral norm α =648.019
Operator 2-norm ν =340.513
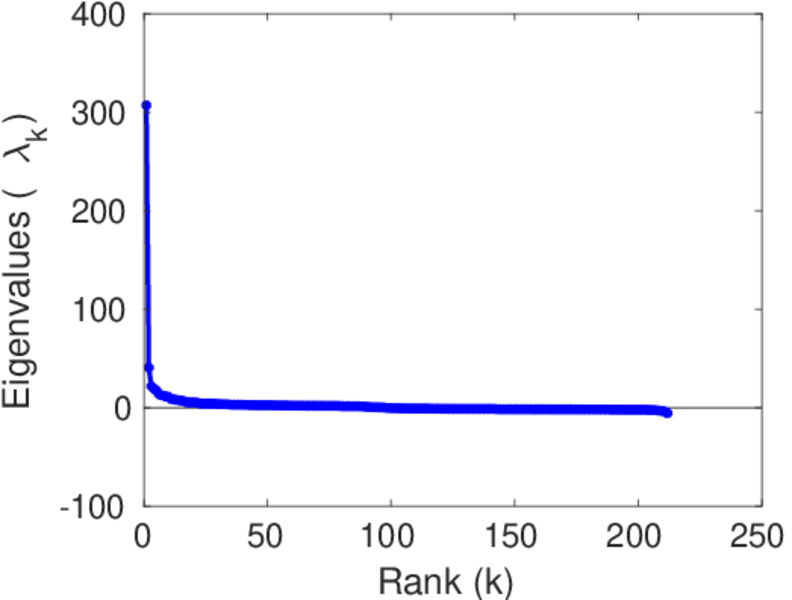
Cyclic eigenvalue π =307.000
Algebraic connectivity a =0.102 012
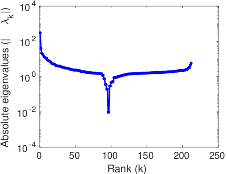
Spectral separation 1[A] / λ2[A]| =7.305 61
Reciprocity y =0.749 912
Non-bipartivity bA =0.954 815
Normalized non-bipartivity bN =0.049 376 7
Algebraic non-bipartivity χ =0.098 440 2
Spectral bipartite frustration bK =0.000 553 583
Controllability C =1,844
Relative controllability Cr =0.483 863

Plots

Fruchterman–Reingold graph drawing

Degree distribution

Cumulative degree distribution

Lorenz curve

Spectral distribution of the adjacency matrix

Spectral distribution of the normalized adjacency matrix

Spectral distribution of the Laplacian

Spectral graph drawing based on the adjacency matrix

Spectral graph drawing based on the Laplacian

Spectral graph drawing based on the normalized adjacency matrix

Degree assortativity

Zipf plot

Hop distribution

Double Laplacian graph drawing

Delaunay graph drawing

In/outdegree scatter plot

Clustering coefficient distribution

Average neighbor degree distribution

SynGraphy

Matrix decompositions plots

Downloads

References

[1] Jérôme Kunegis. KONECT – The Koblenz Network Collection. In Proc. Int. Conf. on World Wide Web Companion, pages 1343–1350, 2013. [ http ]